Фактический объём на производства на 2014 год составляет:
(5.1)
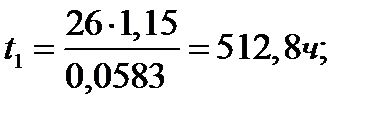
Время работы зависит от объёма производства и рассчитывается по формуле:
(5.2)
где
– коэффициент учитывающий увеличение времени работы в ручном режиме управления;
q – часовая производительность оборудования, м³/ч;


Затраты труда на годовой объем работ определяются как сумма затрат рабочего времени основных и вспомогательных рабочих:
ЗT = ЗTо + ЗТэ, (5.3)
где ЗТо – затраты труда основных рабочих, занятых в производственном процессе;
ЗТэ – затраты труда электромонтеров по эксплуатации и обслуживанию электрооборудования;
Затраты труда основных рабочих равны:
(5.4)
где
- количество рабочих занятых в i-ом рабочем процессе;
-годовые затраты времени по i-му рабочему процессу.

Затраты труда электромонтеров по эксплуатации и обслуживанию электрооборудования, ч:
З Tэ = 1,15 Vэ 18,6, (5.5)
где 1,15 – коэффициент, учитывающий рассредоточенность электрооборудования по территории хозяйства;
18,6 – нормативная трудоемкость условной электротехнической единицы, ч/год;
Vэ – количество условных электротехнических единиц (приложение 2);
Объем работ в условных единицах для второго случая, заносим в таблицу 5.1.
Таблица 5.1 – Объем работ в условных единицах
| Наименование оборудования | Количество установок | Количество условных единиц | |
| Норматив на единицу измерения | На весь объем | ||
| Электропривод с а.д. (10,1-40 кВт) | 0,72 | 1,44 | |
| Щиты автоматики | 0,04 | 0,08 | |
| Итого Vэ2: 1,52 |
Vэ1=2,45 у.е.;
Vэ2=1,52 у.е.
ЗTэ1 = 1,15
2,45
18,6=52,5 чел∙ч;
ЗTэ2 = 1,15
1,52
18,6=32,5 чел∙ч.
Затраты труда на годовой объем работ:
ЗT1 = 1025,6+52,5=1078,1 чел∙ч;
ЗT2 =459,3+32,5=491,8 чел∙ч.
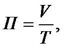
Производительность труда в проектируемом и базовом вариантах определяется по формуле:
(5.7)
где V – годовой объем продукции в натуральном исчислении, м³;
Т1,2 – затраты труда на производство в проектируемом и базовом вариантах, ч.
П1 =
= 0,024 т/чел∙ч;
П2 =
= 0,053 т/чел∙ч.
Изменение производительности труда по сравниваемым вариантам определяется по формуле:
, (5.8)
где П2, П1 – производительность труда в проектируемом и базовом вариантах;
∆П=
= 33,3%.
Производственные энергоресурсы
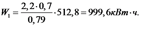
Определим потребность электрической энергии при ручном и автоматическом управлении оборудованием:
(5.9)
где Р – установленная мощность электрооборудования, кВт;
Кз – коэффициент загрузки электродвигателя;
- КПД электродвигателя.


Энергоемкость процесса
(5.10)
объем производства сырья в год в т.:







