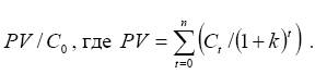
Индекс рентабельности (profitability Index) проекта рассчитывается как отношение текущей оценки будущих чистых денежных потоков по проекту к текущей оценке инвестиционных затрат. Если все инвестиционные затраты осуществляются в году t = 0 в объеме С0, то индекс рентабельности (ИР) равен

Этот метод тесно связан с методом ЧДД, так как ЧДД= PV— С0. Таким образом, индекс рентабельности может быть выражен через значение ЧДД (NPV):

Если инвестиционные затраты осуществляются несколько лет, то в качестве значения Со рассматривается текущая оценка всех инвестиционных затрат. Например, если инвестиционные затраты осуществляются т лет в объеме по годам

Правило метода индекса рентабельности: если индекс рентабельности ИР > 1, то проект принимается; если ИР < 1, то проект отклоняется; для случая ИР = 1 необходимы особые обоснования.
Индекс рентабельности является относительным показателем и позволяет в отличие от метода ЧДД количественно сопоставить затраты и эффект от них
Аутсайдерская концепция финансового менеджмента (гл. 1), ориентирующаяся на максимизацию рыночной оценки капитала V, рассматривает критерий ЧДД как единственно верный. При нефинансовых ограничениях на размер капитала или при рассмотрении "связанной" финансовой системы с множеством целей отбор проектов осуществляется по критерию максимизации чистого эффекта на единицу инвестиционных затрат. Индекс рентабельности позволяет решить задачу распределения ограниченного капитал; между инвестиционными проектами.
Например, рассмотрим проекты 1, 2 и 3, инвестиционные затраты, подсчитанные значения ЧДД по которым приведены в табл. 7.8.

По методу ЧДД проект 3 предпочтительнее, так как он максимизирует рыночную оценку собственного капитала. Однако при ограниченности капитала приходится жертвовать принципом максимизации оценки и выбирать те проекты, которые позволяют получить максимум отдачи с единицы вложенного капитала, что отражает индекс рентабельности.
ИР1 = (ЧДД + Со)/ Со = (15 + 8)/8 = 2,87; ИР2 = 28/10 = 2,80; ИР3 = 33/13 = 2,53.
Если проекты 1, 2 и 3 взаимоисключающие и финансовые источники ограничены, проект 1 предпочтительнее.
?Может ли метод индекса рентабельности применяться при положительном значении денежного потока нулевого года (Со > 0), т.е. для проектов ссужения денег?
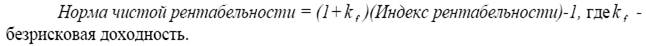
Модификация индекса рентабельности. Возможно, лучшим показателем относительной отдачи по рассматриваемым проектам является показатель нормы чистой рентабельности (net profitability rate).

Для стандартных проектов с отрицательным значением денежного потока нулевого года норма чистой рентабельности показывает дополнительную оценку капитала следующего периода как текущую оценку всех будущих денежных потоков, приходящихся на единицу инвестиций, вложенных в начальный период. По сути это ЧДД, представленный в виде показателя ставки доходности. Такая модификация индекса рентабельности находит применение для сравнения рисковых и безрисковых проектов.






