Молекулы ДНК являются линейными макромолекулами, представляющими собой длинные двойные цепи (тяжи) полимеров, составленных из мономеров, получивших название нуклеотидов (малых органических молекул) и являющихся строительными блоками ДНК. Электронномикроскопическое изображение ДНК показано на рис. 106.
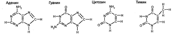
У всех живых существ макромолекулы ДНК построены по одному и тому же плану. Они слагаются в основном из одних и тех же нуклеотидов, каждый из которых содержит по одной молекуле фосфорной кислоты и сахара, а также одно из четырех азотистых оснований — аденин, гуанин, цитозин или тимин. Аденин и гуанин являются пуриновыми основаниями, тогда как тимин и цито- зин — пиримидиновыми. Пурины и пиримидины называют основаниями по той причине, что в кислой среде они способны присоединять к себе ион H'1'. Пиримидины являются производными шестичленного пиримидинового кольца, тогда как пурины представляют основания, у которых второе пятичленное кольцо слито с шестичленным кольцом.

Сахаром в ДНК является 2-дезокси-D-рибоза, отличающаяся от глюкозы тем, что в ее молекуле не 6, а 5 атомов углерода, т. е. является пятиуглеродным сахаром (пентозой). Особенностью этого сахара является также то, что он имеет атом водорода (Н), присоединенный к одному (специфическому) из атомов углерода, но не гидроксильную группу. Следовательно, этот сахар представляет собой дезоксирибозу, т. к. он является рибозой, лишенной кислорода.
Сахарофосфат соединяется с азотистым основанием посредством р-гликозидной связи. Основание прикрепляется к I положению де-зоксирибозы. Структура, образованная соединением азотистого основания и сахара, носит название нуклеозида. Таким образом, химическими группами, которые образуют ДНК, являются пуриновые и пиримидиновые азотистые основания (аденин, гуанин, тимин и цитозин), сахар (2-дезокси-D-рибоза) и фосфорная кислота.
РНК характеризуется такой же структурой, как и ДНК. Однако в отличие от ДНК в РНК сахаром является рибоза с кислородом, представляющая собой сахар с 5 атомами углерода, к одному из которых прикреплена 2'-гидроксильная группа (-ОН). Кроме того, в РНК тимин не имеет метильной группы и является урацилом, т. е. в РНК тимин заменен на урацил, также являющийся пиримидиновым основанием.
Нуклеиновые кислоты называют кислотами по той причине, что их фосфатные группы освобождают в растворах ионы водорода.
Для состава ДНК характерны закономерности, известные в качестве правил А. Чаргаффа, а именно:
1. Сумма нуклеотидов, содержащих пуриновые азотистые основания, равна сумме нуклеотидов, содержащих пиримидиновые азотистые основания

2. Содержание аденина равно содержанию тимина, а гуанина — цитозину
(
или
и
или
).
3.
или 
4. ДНК из разных источников может иметь различия, обусловленные в одних случаях преобладанием аденина над гуанином и тимина над питозином (А + Т > Г + Ц), в других случаях — преобладанием гуанина и цитозина над аденином и тимином (Г + Ц > А + Т).

Данные о нуклеотидном составе оснований ДНК разных организмов приводятся в табл. 11.
Таблица 11






