Это микросхемы, представляющие собой герметичный корпус с большим числом выводов, полупроводниковой или гибридной технологии, в плоскости подложки которой выполнены отдельные логические элементы сложения, умножения, памяти, а также системы проводников (иногда называемых термами).
Имеющаяся система проводников, подключается к элементам матрицы И(ИЛИ) буферными каскадами. Программирование сводится к установлению связи между горизонтальной и вертикальной шинами (проводниками). Возможны следующие способы установления этих связей:
1 Неперепрограммируемые логические схемы. Это значит, что в местах пересечения проводников внутри микросхемы имеются нихромовые или другие перемычки. Следовательно, изначально вертикальные и горизонтальные проводники соединены друг с другом. Программирование сводится к пережиганию (переплавлению) тех перемычек, которые не нужны. Пропускается ток через перемычку порядка 150 мА в течение 50 – 100 мс, перемычка разрушается. При этом программа составляется таким образом, чтобы мощность, выделяющаяся при пережигании перемычек, была распределена во времени. Если переплавить одновременно все ненужные, можно сжечь микросхему. Повторное перепрограммирование невозможно.
|
|
|
2 В местах пересечения проводников устанавливают транзисторы специального исполнения, у которых между затвором и подложкой слой нитрида кремния, Si3N4, который выполняет роль изоляции (см. рисунок 2.15, а). Известно, что обычные униполярные транзисторы имеют входную и выходную характеристики, представленные на рисунке 2.15, б). Транзистор МНОП имеет такую же входную характеристику, но допускает программирование порога Uзо, причем если к затвору приложить напряжение +5 В, а к подложке порядка –30 В, то программируется открытое состояние (рисунок 2.16, характеристика 1). А если приложить к затвору –30 В, к подложке +5 В, то программируется закрытое состояние (рисунок 2.16, характеристика 2). Включается этот транзистор между горизонтальными и вертикальными проводниками в соответствующих точках.
Рисунок 2.15– МНОП транзистрор – а); входная и выходная характеристики – б)
Если нет сигнала опроса (порядка +6 В), то связи между горизонтальными и вертикальными проводниками нет. Если подается на затвор сигнал опроса, то имеется связь для 1–го случая (см. рисунок 2.16). Если же запрограммирован случай 2, то связи нет, транзистор остается закрытым.
Рисунок 2.16 – Входные характеристики МНОП транзистора
Физический смысл программирования: в первом случае из подложки в слой нитрида кремния инжектируются электроны, образующие “электронный пузырь”, изолированный от затвора и подложки, и образующей 1–ый (см. рисунок 2.16) вид характеристик. Во втором случае, аналогично, образующееся дырочное облако тоже изолировано от затвора и подложки, но с положительными зарядами (2–ое семейство характеристик). Сохраняется этот “пузырь” примерно 10 лет. Со временем деградирует, может потребоваться подпрограммирование. Возможно перепрограммирование до нескольких тысяч циклов. При этом микросхема тоже деградирует. Этот вид ПЛИС называется с электрическим программированием и перепрограммированием.
|
|
|
3 ЛИПЗ – технология (лавинный инжекционный плавающий затвор – рисунок 2.17).
Рисунок 2.17 – Униполярный транзистор, изготовленный по ЛИПЗ технологии
Здесь все аналогично второму пункту, но нет Si3N4. Есть плавающий затвор (облако). Если его нет, то первый вид характеристик (рисунок 2.16), если есть – то второй. При программировании производится инжекция из подложки в SiO2 зарядов, образующих плавающий затвор, характеристика смещается в область 2 на графике. Стирание плавающего затвора происходит электрическим программированием или через окошко ультрафиолетовым освещением. Дозы длительности по паспорту для конкретной микросхемы. Количество циклов аналогично предыдущему случаю. При отсутствии сигналов опроса связи между горизонтальными и вертикальными проводниками матрицы нет и она обнаруживается в случае подачи сигналов опроса, т. е. уровней между 1 и 2 характеристиками (см. рисунок 2.16).
4 Оперативное программирование, когда между горизонтальными и вертикальными проводниками включены транзисторы того или иного рода и дополнительные триггеры (рисунок 2.18). Если триггер в нуле, то транзистор, подключенный стоком и истоком к горизонтальным и вертикальным проводникам, закрыт, связи нет. Если триггер в единице, то связь есть.
Достоинства: оперативность связи, высокое быстродействие, возможность бесконечного количества перепрограммирований.
Недостатки: необходимо либо иметь аккумулятор, чтобы сохранить программу при отключении напряжения питания, либо программировать каждый раз перед началом работы.
Рисунок 2.18 – Оперативное программирование
Прямоугольник (см. рисунок 2.18) – триггер, в который записывается при программировании “0” или “1”. Если “1” – верхний вывод Q, транзистор открыт и шина DI через открытый транзистор соединена с проводником DO, следовательно, содержимое вертикальной шины передается горизонтальной, образуется эквивалент плавкой перемычки. Если в триггере “0”, то связи между вертикальной и горизонтальной шинами нет. Такие соединения имеются в каждом пересечении проводников.
Возможны иные варианты установления связей между горизонтальными и вертикальными проводниками (шинами, термами).
Выделяют матрицы ПЛМ (программируемые логические матрицы) и ПМЛ (программируемая матричная логика – рисунок 2.19 и 2.20).
Матрицы ПЛМ содержат две системы пересекающихся проводников, связи между которыми программируются. Матрицы в целом получаются более универсальными (шире возможности программирования).
Матрицы ПМЛ содержат только одну систему пересекающихся проводников (шин), т. е. проще, дешевле, более высокий частотный диапазон, но более узкие возможности программирования.
На входах матрицы переменные, которые поступают через буферные каскады, преобразующие входные переменные в прямой и инверсный сигналы, согласующие по мощности, напряжению и току.
1–ый прямоугольник – это элементы умножения И со своей системой перекрещивающихся проводников. Связи в пересечениях уже есть и ненужные необходимо выжечь. Если это матрица с переплавляемыми перемычками, то эти связи программируются в течение примерно 1 с. В том случае, когда используются транзисторы с нитридом кремния или ЛИПЗ, производится электрическое программирование, с возможностью перепрограммирования, причем информация хранится до 10 лет. Если это оперативное программирование, то связи программируются с большой скоростью.
|
|
|
2–ой прямоугольник – это элементы сложения со своей системой перекрещивающихся проводников.
Справа, на рисунках 2.19, 2.20 — фрагменты функциональных и принципиальных схем. Буферные каскады на входах и на выходах. Связи приведены для случая плавких перемычек. Ненужные связи удаляются при программировании. Причем, схемы изображены в американском стандарте, который отличается от европейского. Характерной особенностью европейского стандарта являются прямоугольники.
Схемы рисунка 2.19 называются ПЛМ–программируемыми логическими матрицами. Их отличительная особенность в том, что имеются две системы программируемых связей (точек). Благодаря этому функциональные возможности выше. Но схемы дороже, меньше быстродействие. Поэтому были также разработаны матрицы ПМЛ – программируемая матричная логика. Они имеют только одну систему связей (рисунок 2.20), проще, дешевле, выше быстродействие, но функциональные возможности хуже.
Рисунок 2.19 – ПЛМ
Рисунок 2.20 – ПМЛ
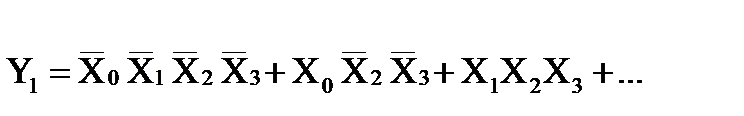
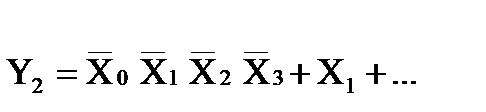
На рисунке 2.21 приведен пример программирования в матрице ПЛМ. Вначале связи были между всеми вертикальными и горизонтальными проводниками (для плавких перемычек). После переплавления ненужные связи удалены, оставлены только те, которые соответствуют приведенным комбинационным выражениям. Здесь используются две системы связей, поэтому матрица ПЛМ.
Итак, выделяют два вида разработки электронных устройств: на жесткой логике и на гибкой логике.


Рисунок 2.21 – Схема ПЛМ на гибкой логике






