Некоторые полезные ископаемые, добытые из недр земли, непосредственно используются в отдельных отраслях народного хозяйства (камень, глина, известняк для строительных целей, слюда для электроизоляции и др.), но большая часть их предварительно подвергается обогащению.
Обогащением полезных ископаемых называется совокупность операций механической обработки полезного ископаемого с целью получения продуктов, годных для использования в народном хозяйстве.
Процесс обогащения полезных ископаемых осуществляется на специально оборудованных, высокомеханизированных предприятиях. Эти предприятия называются обогатительными фабриками, если основной задачей их является разделение минералов и дробильно-сортировочными фабриками, если обогащение сводится в основном к дроблению горных пород и разделению их по крупности и прочности.
Полезные ископаемые на обогатительных фабриках проходят целый ряд последовательных операций, в результате полезные компоненты отделяются от примесей. Процессы обогащения полезных ископаемых по своему назначению делятся на подготовительные, основные и вспомогательные.
К подготовительным относят процессы дробления, измельчения, грохочения и классификации. Их задача - привести минеральные компоненты в такое состояние, при котором возможно вести разделение (уменьшение крупности, разделение по крупности и др.);
К основным относят следующие процессы:
гравитационные;
флотационные;
магнитные;
электрические;
специальные;
комбинированные.
Задача основных процессов обогащения - разделить полезный минерал и пустую породу.
К вспомогательным относят обезвоживание, пылеулавливание, очистку сточных вод, опробование, контроль и автоматизацию, разгрузку, транспортирование материала в сухом виде и с водой, перемешивание, распределение материала и реагентов по машинам и др.
Задача этих процессов - обеспечить оптимальное протекание основных процессов.
Совокупность последовательных технологических операций обработки, которым подвергают полезные ископаемые на обогатительных фабриках, называется схемой обогащения. В зависимости от характера сведений, которые содержатся в схеме обогащения, ее называют технологической, качественной, количественной, качественно-количественной, водно-шламовой и схемой цепи аппаратов.
Все, что поступает на обогащение или в отдельную операцию обогащения, называется исходным материалом, или питанием.
Исходным материалом для обогатительного предприятия является руда. Процентное содержание ценного компонента в исходном материале (руде) обычно обозначается через
(альфа). Продуктами обогащения (или операции) называют материалы, получаемые в результате обогащения - концентрат, промежуточный продукт (промпродукт) и хвосты.
Концентратом называется продукт обогащения, в котором содержание ценного компонента больше, чем в исходном материале. Процентное содержание ценного компонента в концентрате обозначается через
(бэта).
Хвостами называется продукт обогащения, имеющий незначительное содержание ценного компонента по сравнению с исходной рудой. Процентное содержание ценного компонента в хвостах принято обозначать через
(тэта). Хвосты представляют собой, главным образом, пустую породу и вредные примеси.
Промежуточным продуктом (промпродуктом) называется продукт, в котором содержание ценного компонента меньше, чем в концентрате, и больше, чем в хвостах. Содержание в нем ценного компонента обозначается через
. Промпродукты обычно направляются на дополнительную переработку.
Концентраты и хвосты могут являться как продуктами отдельных операций, так и конечными продуктами процесса обогащения. Качество конечных или так называемых товарных концентратов должно соответствовать государственному стандарту (ГОСТу). Каждым ГОСТом предусматривается минимальное содержание в концентратах ценного компонента и допускаемые содержания примесей.
Для оценки результатов обогащения применяются следующие основные технологические показатели и их условные обозначения:
Выход
(гамма) - количество полученного продукта, выраженное в процентах (или долях единицы) к исходному материалу.
Выход концентрата
, промпродукта
, хвостов
определяется из следующих выражений:

где С - количество концентрата;
М - количество переработанной руды;
П - количество промпродукта.
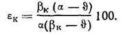
Степень извлечения е (эпсилон) - выраженное в процентах отношение количества ценного компонента в данном продукте (обычно в концентрате) к количеству его в исходном материале (руде), принятому за 100%. Степень извлечения в концентрат
, промпродукт
, хвосты
определяется из формул:

; 
Степень концентрации (или коэффициент обогащения) К - отношение содержания ценного компонента в концентрате к содержанию его в исходном материале (руде):

Часто неизвестна масса продуктов. А вот содержание полезного компонента в продуктах известно практически всегда.
Выход концентрата и хвостов, его извлечение определяются через содержания следующими формулами:
;
;
.

По таким формулам в процессе работы на фабриках можно производить оценку обогащения, имея лишь данные химического анализа руды (
) и продуктов обогащения (
,
). Аналогичным путем могут быть получены уравнения и формулы для случая, когда в процессе обогащения получаются два концентрата и хвосты, т. е. для двух ценных компонентов.
Эти уравнения являются различными выражениями общего правила, заключающегося в том, что количество материала, поступающего на обогащение, равно сумме получаемых продуктов