Сущность пневматической (воздушной) классификации заключается в разделении сыпучего материала за счет различных скоростей движения крупных и мелких частиц в воздушном потоке.
Классификацию материалов с размером частиц менее одного миллиметра нецелесообразно проводить в грохотах, так как их удельная производительность при этом весьма низкая. Такие мелкозернистые сухие материалы рациональнее разделять в воздушных классификаторах, в которых при определенных условиях более крупные частицы выпадают из потока воздуха под действием сил тяжести или центробежных сил, а мелкие выносятся потоком воздуха в осадительные устройства. Регулированием скорости и траектории движения воздушного потока можно варьировать крупность разделяемых частиц.
В реальных условиях точное разделение частиц по заданной границе обеспечить невозможно, так как скорость движения непрерывно колеблется из-за изменения концентрации частиц, их формы, размеров, местных завихрений газового потока и т. д. Вследствие этого мелкая фракция оказывается загрязненной крупными частицами и наоборот.
Эффективность воздушной классификации определяется по зависимости

где m и m0 - масса мелкого продукта соответственно после сепаратора и в исходном материале.
Засоренность продукта

где m1 и m2 - масса продукта, соответственно, после сепаратора и после отсева мелкой фракции.
В производственных условиях эффективность разделения составляет 67-80 %, а засоренность – 60-70 %.
Смесь сыпучих материалов в воздушных классификаторах делится на классы вследствие различного действия массовых сил и сил аэродинамического сопротивления на частицы разных размеров и, следовательно, большей скорости движения, приобретаемой крупными частицами. При этом конструкции аппаратов должны обеспечивать регулирование действующих на частицы сил и движение частиц различной крупности в разных направлениях. Частицы граничного размера находятся в динамическом равновесии и в зависимости от колебаний режима движения воздушного потока попадают в крупный или мелкий класс.
В процессе воздушной классификации в сепараторах различают три схемы разделения частиц материала (рисунок …): вертикально-проточную, прямоточно-центробежную, центробежную поперечно-проточную.

Рисунок … - Схемы разделения частиц:
а - вертикально-проточная; б - противоточно-центробежная; в - центробежная поперечно-проточная
В химической промышленности преимущественное применение имеют проходные и циркуляционные сепараторы.
| |
| Рисунок … - Схема проходного сепаратора | Рисунок … - Схема циркуляционного сепаратора |
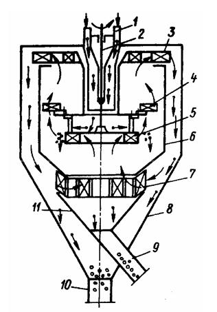
Проходной сепаратор (рисунок...) представляет собой статический аппарат, в котором материал разделяется только за счет энергии сжатого воздуха. Исходный материал вместе со сжатым воздухом поступает по патрубку 1 в корпус 2 сепаратора. Из-за расширения канала, по которому движется смесь, скорость потока уменьшается, и крупные частицы выпадают из смеси под действием сил тяжести. Воздушный поток с мелкими частицами проходит по направляющим лопастям 4 во внутренний корпус 3. В корпусе поток закручивается и из него под действием центробежных сил выпадают мелкие частицы. Крупные частицы выводятся из сепаратора по патрубку 7, мелкие - по трубе 6, а отработанный воздух направляется по трубе 5 в пылеочистительные аппараты. Граница разделения регулируется дросселированием потока воздуха и изменением угла установки направляющих лопастей 4.
Недостатком проходных сепараторов является высокий расход сжатого воздуха и их целесообразно применять в установках, в которых сжатый воздух используется для транспортирования материала.
По физическому принципу близки к гравитационным противоточным классификаторам классификаторы с кипящим слоем.
Схема классификатора с кипящим слоем непрерывного действия показана на рисунке …

Рисунок … - Схема классификатора с кипящим слоем:
1 - газораспределителъ; 2 - газораспределительная решетка; 3 - патрубок вывода крупных фракций; 4 - патрубок вывода средних фракций; 5 - патрубок отсоса мелких фракций; 6 - заслонка; 7 - загрузочное устройство; 8 – устройство для регулировки угла наклона решетки
По имеющимся данным, классификаторы с кипящим слоем не могут обеспечить разделение по границе 0,5-5 мм при такой же эффективности, как и у обычных гравитационных аппаратов. Обработка опытных данных показала, что величина эффективности классификации (
стендовых классификаторах с кипящим слоем колеблется от 0,3 до 0,4, редко доходя до 0,45-0,5. Поэтому, проектируя классифицирующую установку как самостоятельный агрегат, предпочтение следует отдавать гравитационным классификаторам с пересыпными полками, используют классификаторы с кипящим слоем лишь в процессах, в которых и основная переработка сыпучего материала происходит в кипящем слое.






