В пустоте все тела падают с одинаковой скоростью, но в любой среде - воде, воздухе, суспензии и т. д. - скорость падения тел меньше, так как среда оказывает сопротивление падающему телу.
Сопротивление среды движению тела складывается из динамического сопротивления и сопротивления трения, соотношение между которыми зависит от характера движения.
Движение тела в среде может иметь турбулентный или ламинарный режим.
При турбулентном режиме,характеризуемом большой скоростью движения тела, происходит завихрение струй среды. В этом случае кинетическая энергия движущегося тела
расходуется главным образом на преодоление инерции покоя массы среды и лишь в небольшой части на преодоление трения среды.
Падающие с большой скоростью тела встречают, таким образом, со стороны среды сопротивление сил инерции или динамическое сопротивление.
Для ламинарного режима характерна малая скорость движения тел. Струи среды, обтекая падающее тело, следуют за его очертаниями, не образуя завихрений. Кинетическая энергия падающего тела при ламинарном режиме движения расходуется главным образом на преодоление сил трения тела о среду и взаимного трения самих частиц среды.
Падающее в спокойной среде тело с малой скоростью встречает со стороны среды сопротивление трения или вязкости. Динамическое сопротивление в данном случае незначительно.
С увеличением скорости движения роль динамического сопротивления усиливается, а роль сопротивления сил трения уменьшается.
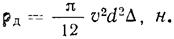
По Ньютону, динамическое сопротивление неподвижной водной среды при падении в ней шара со скоростью v выразится формулой:

По закону Архимеда, вес шара в воде составляет:


Результирующая сила Q, являющаяся причиной ускорения тела при падении его в воде, равна:

Эта сила действует на массу m:

Ускорение
шара, падающего в воде, может быть представлено в следующем виде:

или после замены величин Q и т их значениями

Из выражения видим, что ускорение шара, падающего в воде, зависит от скорости его падения. В начальный момент падения в среде тело имеет скорость
и ускорение его

Период ускорения тела продолжается незначительные доли секунды. В дальнейшем с увеличением скорости падения v увеличивается сопротивление среды, уменьшается ускорение
и наступает момент установившегося движения, когда шар начинает падать с постоянной скоростью. Эта скорость называется конечной скоростью падения v0. При этом ускорение
=0 и согласно формуле

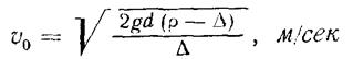
Отсюда находим значение конечной скорости по Ньютону - Риттингеру

или


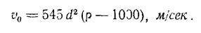
Из этой формулы видно, что чем больше размер d и плотность р падающего тела, тем больше конечная скорость его падения в воде. Однако для очень мелких зерен эта формула непригодна, так как в ней не учтено внутреннее трение частиц жидкости между собой и о поверхность падающего тела. Для мелких частиц этот вид сопротивления играет единственную роль и оно может быть выражено по Стоксу


Формула Риттингера (приведенная выше) применима для зерен шарообразной формы с диаметром более 1-2 мм, а для мелких зерен (диаметром менее 0,12-0,18 мм) применима формула Стокса

Существует формула для определения конечной скорости в общем виде, пригодная для зерен любого диаметра,

В этой формуле необходимо знать значение коэффициента сопротивления среды ψ (коэффициент Рейлея).
Профессор П. В. Лященко предложил метод расчета конечной скорости падения тел в любой жидкой среде.

где Re-число Рейнольдса (безразмерная величина);
d - диаметр шарообразного тела, м;