Липаза или триацилглицерол-липаза широко распространена в природе и играет важную роль в процессах, протекающих при переработке и хранении пищевых продуктов. В настоящие время выделены и охарактеризованы липазы растительного происхождения (липаза клещевины, пшеницы и других злаков), животного (панкреатическая липаза, липаза молока) и микробного (бактериальные и грибные липазы).
Липазы являются универсальными ферментами, используемыми для преобразования липидов. Субстратами липаз являются глицериды и другие сложные эфиры. Липазы более других представителей класса гидролаз обладают способностью катализировать различные типы реакций. Эти типы следующие:
1 – Гидролиз эфиров
R–COO–R1 + H2O R–COOH +R1–OH
2 – Синтез эфиров
R–COOH +HO–R1 R–COO–R1 +H2O
3 – Трансэтерификация
3.1 Ацидолиз
R–COO–R1+ R2–COOH R2–COO–R1 +R–COOH
3.2 Алкоголиз
R–COO–R1 + HO–R1 R–COO–R2 + HO–R1
3.3 Интерэтерификация
R–COO–R1 + R2–COO–R3 R–COO–R3+ R2–COO–R1
3.4 Аминолиз
R–COO–R1 + H2N–R2 R–CO–NH–R2 +HO–R1
Гидролитическое расщепление жиров липазами протекает с заметной скоростью в средах с концентрацией воды не менее 1 %. Реакция происходит в гетерогенной среде на границе раздела фаз липиды – вода, скорость её зависит от степени дисперсности субстрата.
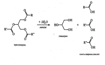
Обычно липазы катализируют реакцию расцепления триглицеридов согласно приведенному ниже суммарному уравнении:

Липазы проявляют специфичность в отношении оптических изомеров эфиров (стериоспецифичность), позиционную, глицеридную и жирокислотную специфичность.
По позиционной специфичности липазы делят на две группы: позиционно неспецифичные, освобождающие при гидролизе триглицеридов жирные кислоты из всех трех позиций, и 1,3-специфичные.
Большинство известных липаз предпочтительно гидролизуют сложноэфирную связь при С1 и С3 глицерола.
При длительном гидролизе глицеридов 1,3-специфичные липазы способны отщепить жирные кислоты из всех положений, поскольку 2-моноглицериды и 1,2-диглицериды, как менее конформационно стабильные, самопроизвольно изомеризуются в 1-моноглицериды и 1,3-диглицериды.
Жирнокислотная специфичность липаз выражается в предпочтении к жирным кислотам определенной длины цепи. В целом липазы легко отделяют жирные кислоты средней длины.
Глицеридная специфичность выражена не у всех липаз. Фермент из Pen. cyclopiumгидролизует моноглицериды и диглицериды и практически не действует на триглицериды.
Липазы различного происхождения сильно отличаются друг от друга по специфичности действия, сродству к различным субстратам, растворимости, оптимуму рН и другим свойствам. Так, например, липаза семян клещёвины нерастворима в воде, имеет оптимум рН 4,7-5,0; панкреатическая липаза растворима, и оптимум рН ее действия лежит в слабощелочной среде.Липазапшеничных зародышей также отличается от липазы клещевины. Онарастворима в воде и имеетрН оптимум при 8,0.
Микробные липазы-ферменты с молекулярной массой 30-55 кДа, оптимальная температура действия не превышает 65°С, оптимальный рН большинства исследованных липаз лежит в слабокислой и нейтральной зоне. Бактерии рода Pseudomonasпродуцируют щелочные липазы и липазы с широкой зоной рН-оптимума.
Зерновая липаза участвует в процессе порчи зерновых продуктов при хранении. Особенно это касается продуктов, содержащих повышенное количество жира, например, овсяной муки или крупы, пшена. Накопление свободных жирных кислот под действием липазы (рост кислотного числа жира) — признак ухудшения качества продукта. Свободные жирные кислоты, особенно ненасыщенные, легко подвергаются окислению под воздействием разных факторов: липоксигеназы, тепловой обработки, кислорода воздуха, солнечного света и др. Таким образом, липазы могут инициировать процесс прогоркания и ограничивать сроки хранения пищевых продуктов.






