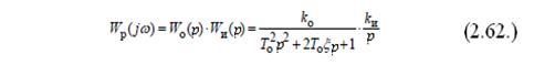
Необходимо определить запас устойчивости САУ на основе следующих данных объекта управления и И – регулятора:
kо = 0,26, Tо = 0,1 с, ξ = 0,45, kи = 20
Решение:
Передаточная функция разомкнутой системы будет выглядеть следующим образом:

Подставим в формулу (2.62.) р = jω и получим:

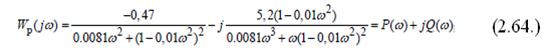
Подставив числовые значения, получим:

С помощью полученного выражения строим годограф Wр (jω), вид которого представлен на рисунке 81.

Рис.81. Годограф Wр (jω)
На основании анализа годографа можно заметить, что он не охватывает точку с координатами (−1; j0), пересекая действительную отрицательную ось в точке (0,58; j0). Полученные данные позволяют сделать вывод, что система устойчива и запас устойчивости по модулю составляет h = 4,76 дБ, а запас устойчивости по фазе γ = 470.






