2.1.Причины и виды дисперсии
Основной причиной возникновения дисперсии в волокне является некогерентность источника излучения (лазера). Идеальный источник всю мощность излучает на заданной длине волны λ0, однако реально излучение идёт в спектре λ0 ± Δλ (рис.2.1), так как не все возбуждённые электроны возвращаются в то же состояние, из которого они были выведены при накачке.

Рис.2.1. Реальное излучение лазера
Коэффициент преломления является частотнозависимой величиной, то-есть n есть функция от λ: n = f (λ), см. рис.2.2.

Рис.2.2. Зависимость коэффициента преломления от длины волны
Следовательно, при распространении сигнала, состоящего из смеси длин волн λ0 ± Δλ, части сигнала идут с разной скоростью, и возникает дисперсия:
λ ± Δλ → n ± Δn → c /(n ± Δn) → v ± Δv → Δτ.
Этот вид дисперсии называется материальной дисперсией.
Поперечная постоянная распространения волны (вдоль радиуса волокна) также зависит от длины волны, то есть от длины волны зависит площадь моды и площадь той части оболочки, которая захватывается площадью моды, выходящей за границы сердцевины. Распространение света вдоль пограничной с сердцевиной части оболочки идёт с большей скоростью, чем по сердцевине, что вносит вклад в изменение дисперсии. Эта дисперсия называется волноводной дисперсией. Обе эти дисперсии, материальная и волноводная, в сумме называются хроматической дисперсией. Они складываются арифметически. На рис.2.3 показаны зависимости материальной и волноводной дисперсии и их суммы от длины волны. Для стандартного одномодового волокна при λ = 1300 нм эти дисперсии равны и противоположны по знаку, и суммарная дисперсия равна нулю.

Рис.2.3. Зависимость материальной и волноводной дисперсии в стандартном одномодовом волокне от длины волны (нм)
В многомодовом волокне кроме хроматической дисперсии существует ещё межмодовая дисперсия. Если мод несколько, то каждая распространяется вдоль волокна со своей скоростью, которые могут значительно отличаться друг от друга. На рис.2.4 приведены графики фазовых скоростей некоторых мод.

Рис. 2.4. График фазовых скоростей некоторых мод в зависимости от частоты.
Если параметры волокна меняются, например, случайно изменится диаметр сердцевины, происходит перестройка мод, и моды обмениваются энергией. Межмодовая дисперсия на порядок больше хроматической дисперсии, что явилось причиной разработки одномодовых кабелей, в которых межмодовая дисперсия отсутствует. В таблице 2.1 приведено примерное соотношение величин видов дисперсии для различных типов волокон.
Табл.2.1. Соотношение между различными видами дисперсии

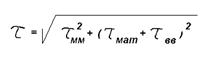
Суммарная дисперсия определяется как корень квадратный из суммы квадратов хроматической и межмодовой дисперсий:
(2.1)
Материальная и волноводная дисперсии рассчитываются по формулам
τмат = ∆λ∙ М(λ)∙ L (2.2),
τвв = ∆λ∙ В(λ)∙ L (2.3),
где ∆λ – ширина полосы излучения лазера, нм;
М(λ) и В(λ) – удельные материальная и волноводная дисперсии, пс/(нм·км);
L – длина линии, км.
Величины М(λ) и В(λ) приводятся в справочниках.
τΣ = [τмм2 +(τмат + τвв)2]1/2
Вариант табл. 2.1. Примерные значения величин дисперсии для различных типов волокон
| Ступенчатое ОВ | Градиентное ОВ | Одномодовое ОВ | |
| Материальная | 0.1 пс/км | 0.1 | Взаимно компенсируются |
| Волноводная | 2 - 5 | 0.1 – 0.3 | |
| Межмодовая | 20 - 50 | 1 - 4 | отсутствует |
2.2. Поляризационная модовая дисперсия (ПМД)
Свет представляет собой колебания поперечные к направлению распространения света (рис.2.5). Если конец вектора поля описывает прямую линию, то такая поляризация называется линейной, если круг или эллипс, то круговой или эллиптической. Большинство людей за редким исключением поляризацию света не ощущают, только некоторые (таким был, например Лев Толстой), чётко различают поляризованный и неполяризованный свет. Обычный интегральный светоприёмник (диод) также реагирует только на интенсивность волны, а не на её поляризацию. Однако некоторые оптические устройства, например некоторые типы усилителей имеют коэффициент усиления, зависящий от поляризации.

Рис. 2.5. Виды линейной поляризации
Кроме того, поляризация вектора имеет большое значение в процессах отражения и преломления, так как коэффициенты Френеля, характеризующие амплитуды отражённой и преломленной волны, в общем случае зависят от направления вектора поляризации (рис.2.6). На рис.2.6 показано, как отражается смесь лучей параллельной (черточки) и перпендикулярной (точки) поляризаций по отношению к плоскости распространения при переходе через горизонтальную плоскость раздела. Из рисунка видно, что при некотором угле (угол Брюстера) все отражённые волны имеют перпендикулярную поляризацию, а преломленные – параллельную.

Рис. 2.6. Отражение волн разной поляризации.
В классическом одномодовом волокне единственной модой является волна НЕ11. Однако если учитывать поляризацию, то в волокне присутствуют две взаимно ортогональные моды, соответствующие горизонтальной и вертикальной осям x и y. В реальной ситуации волокно не является в сечении всегда идеальным кругом, а часто представляет в силу тех или иных особенностей технологии небольшой эллипс. Кроме того, при намотке кабеля и при его прокладке возникают не симметричные механические напряжения и деформации волокна, что приводит к двойному лучепреломлению. Коэффициент преломления вследствие дополнительного напряжения будет изменяться, и скорости распространения ортогональных мод на различных участках будут отличаться друг от друга, что будет вносить разные временные задержки при распространении ортогональных мод. Импульс в целом будет испытывать статистическое уширение во времени, которое называется поляризационной модовой дисперсией (ПМД). Так как ПМД на разных участках линии различна и подчиняется статистическим закономерностям, то обычно используется среднеквадратичное суммирование, и расчёт ПМД производится по формуле
τпмд = D
(2.4).
ПМД имеет небольшую величину и проявляется, если увеличиваются длина линии, скорость передачи в канале (когда битовый интервал уменьшается), и число волн в окне прозрачности (сверхплотные WDM).
Поворот плоскости поляризации и появление ортогональных компонент возможно также при воздействии сильных поперечных электрических и продольных магнитных полей (например, при близком ударе молнии). В этом случае также появляется дополнительная ПМД (рис. 2.7).

Рис. 2.7. Причины возникновения ПМД.