Все трансформаторы промышленного производства снабжены паспортом, содержащим следующие данные:
1. Отношение номинальных напряжений U1H /U2H;
2. Номинальную кажущуюся мощность SH;
3. Ток холостого хода I10 % (10-14%);
4. Потери при холостом ходе P10;
5. Напряжение при коротком замыкании ek (7-12%);
6. Потери при коротком замыкании P1k.
С их помощью определяют коэффициент трансформации

и номинальный первичный ток

Стандартный опыт холостого хода проводится при номинальном первичном напряжении:
U10 = U1H.
Ток холостого хода в паспорте задан в процентах от номинального тока первичной стороны. Поэтому

В режиме холостого хода I10<<I1H, падением напряжения Z 1· I 10 и потерями в меди в этом режиме можно пренебречь. В то же время U10=U1H можно считать равным E01, а поток F0 при холостом ходе такой же, как при номинальной нагрузке.
Поэтому можно считать z 1 << z 0 и P10 = Pст, а
,
где
— угол сдвига фаз между U10 и I10.
Силовые трансформаторы обычно конструируются таким образом, что z 1 = z`2.
Стандартный опыт короткого замыкания выполняется при таком пониженном первичном напряжении
,
при котором I1k = I1H.
Поскольку U1k<<U1H, то при коротком замыкании можно пренебречь намагничивающим током I0k и потерями в стали, пропорциональными квадрату основного потока, составляющего примерно 10% от своей номинальной величины. Поэтому
I 1k=- I `2k или I1k=-I`2k;
потери в меди такие же, как при номинальной нагрузке: Pм = P1k и
,
где
— угол сдвига фаз между U1k и I1k
.
С помощью паспортных данных можно также определить КПД трансформатора при номинальной нагрузке, поскольку мощность, потребляемая от источника P1, отличается от полезной мощности нагрузки PH только на величину суммарных потерь:
P1 = PH+Pм+Pст = PH+P1k+P10,
.
КПД трансформатора довольно высок, поскольку это статический аппарат (без подвижных частей):h>90 %.
Задачи конструирования и расчета трансформаторов очень часто возникают в инженерной практике, поэтому теории трансформатора следует уделить большое внимание.
В расчетах электрических сетей с учетом трансформаторов взамен Т-образной схемы замещения, известной из курса электротехники, обычно применяют наиболее простую Г-образную схему замещения, которая значительно упрощает расчеты и не вызывает существенных ошибок. Такая схема замещения представлена на рис. 1.

Рис. 1. Г-образная схема замещения трансформатора
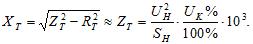
Основными параметрами схемы замещения одной фазы трансформатора является активное сопротивление RТ, реактивное сопротивление ХТ, активная проводимость GТ и реактивная проводимость ВТ. Реактивная проводимость ВТ имеет индуктивный характер. Эти параметры в справочной литературе отсутствуют. Их определяют экспериментально по паспортным данным: потерям холостого хода ∆РХ, потерям короткого замыкания DРК, напряжению короткого замыкания UК% и току холостого хода i0%.
Для трехобмоточных трансформаторов или автотрансформаторов, схема замещения представляется в несколько ином виде (рис.2).

Рис. 2. Схема замещения трехобмоточного трансформатора
В паспортных данных трехобмоточных трансформаторов напряжение короткого замыкания указывается для трех возможных сочетаний: UК1-2% - при коротком замыкании обмотки среднего напряжения (СН) и питании со стороны обмотки высшего напряжения (ВН); UК1-3% - при коротком замыкании обмотки низшего напряжения (НН) и питания со стороны обмотки ВН; UК2-3% - при коротком замыкании обмотки НН и питании со стороны СН.
Кроме того, возможны варианты исполнений трансформаторов, когда все три обмотки рассчитаны на номинальную мощность трансформатора или когда одна или обе вторичные обмотки рассчитаны (по нагреву) только на 67% мощности первичной обмотки.
Активная и реактивная проводимости схемы замещения определяются по формулам:

где ∆РХ – в кВт, UН – в кВ.

Общее активное сопротивление обмоток RТобщ вычисляют по формуле:

Если все три обмотки рассчитаны на полную мощность, то активное сопротивление каждый из них принимается равным:
R1Т = R2Т = R3Т = 0,5 RТобщ
Если же одна из вторичных обмоток рассчитана на 67% мощности, то сопротивления обмоток, которые могут быть нагружены на 100%, принимаются равными 0,5 RТобщ. Обмотка, позволяющая передавать 67% мощности и сечение которой составляет 67% от нормального, имеет сопротивление в 1,5 раза больше, т.е. 0,75 RТобщ.
Для определения реактивного сопротивления каждого из лучей схемы замещения напряжения короткого замыкания представляют в виде суммы относительных падений напряжения на отдельных лучах:
UК1-2% = UК1% + UК2%,
UК1-3% = UК1% + UК3%,
UК2-3% = UК2% + UК3%.
Решая эту систему уравнений относительно UК1% и UК3%, получаем:
UК1% = 0,5(UК1-2% + UК1-3% - UК2-3%),
UК2% = UК1-2% + UК1%,
UК3% = UК1-3% + UК1%.
При практических расчетах для одного из лучей падение напряжения обычно получается равным нулю или небольшой отрицательной величине. Для этого луча схемы замещения индуктивное сопротивление принимают равным нулю, а для остальных лучей индуктивные сопротивления находят в зависимости от относительных падений напряжения по формуле:
