Для упрощения анализа и расчета режимов работы трансформатора пользуются способом, при котором одна из его обмоток приводится к другой. Смысл приведения состоит в том, чтобы сделать ЭДС первичной и вторичной обмоток одинаковыми, электромагнитную связь между обмотками заменить электрической связью и получить единую электрическую схему замещения трансформатора, построить другую, более простую и наглядную векторную диаграмму. Чаще всего вторичную обмотку приводят к первичной. Для этого условно заменяют реальную вторичную обмотку некоторой фиктивной обмоткой с числом витков:
Для этого условно заменяют реальную вторичную обмотку некоторой фиктивной обмоткой с числом витков

т.е. увеличивают число ее витков в k раз. Таким образом, коэффициент приведения вторичной обмотки к первичной равен коэффициенту трансформации. Все параметры приведенной обмотки обозначают со штрихами:

и т.д. В приведенной обмотке в соответствии с новым числом витков увеличиваются все ЭДС, напряжения и падения напряжения, т.е.:

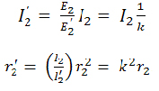
Важным условием приведения является то, чтобы мощности и потери энергии во вторичной обмотке не изменялись. Для этого должны выполняться равенства:

из которых получаются соотношения для тока и активного сопротивления приведенной вторичной обмотки:

Аналогично последнему соотношению изменяются индуктивное сопротивление рассеяния приведенной вторичной обмотки и параметры нагрузки:

Для полных сопротивлений справедливы соотношения:

Если таким образом изменить (условно конечно) все электрические величины вторичной обмотки, то энергетические соотношения в реальном и приведенном трансформаторе сохраняются без изменений и поэтому приведение правомерно. При этом необходимо помнить, что приведение — это чисто аналитический прием, позволяющий упростить расчеты и анализ физических процессов в реальном трансформаторе.






