Магнитное поле, ось которого вращается в пространстве с постоянной угловой частотой, называется вращающимся магнитным полем. Если при этом величина индукции в любой точке оси магнитного поля остается постоянной, то такое поле называется круговым вращающимся магнитным полем. Это связано с тем, что его можно изобразить вращающимся в пространстве вектором постоянной длины, конец которого при вращении описывает окружность.
Формирование кругового вращающегося магнитного поля является необходимым условием работы асинхронных и синхронных машин. Для этого в пазы пакета статора (рис. 1) укладывают три одинаковые обмотки (катушки), состоящие из двух частей, располагающихся диаметрально противоположно в пакете статора. Причем оси трех обмоток статора смещены по отношению друг к другу на 120°.
МДС обмотки электрической машины необходимо знать для построения пространственного распределения и расчета магнитного поля. Пользоваться кривой МДС бывает удобнее, чем определять картину поля, так как последняя зависит от магнитной проводимости воздушного зазора, которую зачастую трудно найти из-за сложной конфигурации поверхностей, ограничивающих его. Кроме того, проводимость воздушного зазора изменяется при вращении ротора, а при насыщении магнитопровода на пространственное распределение поля [см. графики В(х) ] влияет магнитная проводимость стальных участков магнитной цепи.
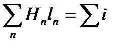
МДС катушки. По катушке (см. рис. 8.1, а) протекает синусоидальный ток i=Imsinωt. Ее МДС равномерно распределена в пространстве в пределах полюсного деления и пульсирует во времени. Для любой силовой линии магнитного поля (трубки проводимости) можно записать закон полного тока:
Если замкнутую силовую линию поля разделить по длине l на п участков, в пределах каждого из которых напряженность Нn магнитного поля будет одинаковой, т.е. не будет зависеть от длины участка ln, то интеграл можно заменить суммой:

Произведение Нn1n = Fn называется падением магнитного потенциала на n-ом участке, или его магнитным напряжением.
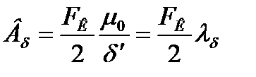
В магнитной цепи электрической машины есть два типа участков с существенно разными магнитными проницаемостями: воздушные и стальные. Магнитная проницаемость электротехнической стали на несколько порядков выше, чем магнитная проницаемость воздуха μ0.
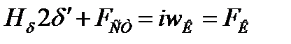
Обозначим магнитные напряжения воздушных и стальных участков магнитной цепи машины соответственно Fδ и FСТ. Тогда, согласно закону полного тока, их сумма будет равна МДС катушки F к:
.
Силовая линия магнитного поля включает в себя два расчетных воздушных зазора [см. (7.1)], поэтому
,
где Hδ — напряженность магнитного поля в воздушном зазоре. Известно, что Bδ = μ0 Hδ, а постоянная μ0 = 4π · 107 Гн / м.
Отсюда
Индукция магнитного поля в любой точке воздушного зазора связана с МДС катушки в этой точке следующим соотношением:
Так как часто Fδ >> Fст, падением магнитного потенциала на стальных участках магнитной цепи электрической машины можно пренебречь, тогда

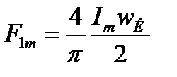
Расчет магнитной цепи и МДС электрической машины обычно проводят для максимального значения F к, т. е. когда i = Iт и ордината прямоугольника на рис. 8.1, а равна Fк /2 = Iтwк /2. Ряд Фурье такой функции F(х) содержит пространственные гармоники только нечетных порядков, т.е. v = 1, 3, 5, 7,.... Амплитуда 1-й гармоники МДС катушки в этом случае
(9.28)
Из разложения прямоугольной функции в ряд Фурье известно, что амплитуда любой высшей гармоники (9.29)
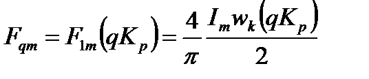
Амплитуда 1-й гармоники МДС катушечной группы. Основные гармоники МДС катушек в катушечной группе сдвинуты в пространстве на зубцовое деление (см. рис. 8.3, б). Сумма синусоид q катушек, смещенных по оси х, также будет пространственной синусоидой, но ее амплитуда Fqm будет меньше арифметической суммы амплитуд МДС q катушек, т.е. Fqm < qF1m. Очевидно, что отношение этих амплитуд равно коэффициенту распределения 1-й гармоники [см. (9.13)]: геометрическая сумма МДС катушек
арифметическая сумма МДС катушек
Таким образом, с учетом (9.28), для катушечной группы можно записать

Выразив амплитуду тока через его действующее значение Iт =
I, получим
(9.30)
Формула (9.30) справедлива для обмотки с диаметральным шагом (у = τ) и без скоса пазов. При укороченном шаге (у < τ) и наличии скоса амплитуда 1-й гармоники МДС катушечной группы
(9.31)
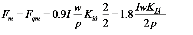
Амплитуда 1-й гармоники МДС фазы. Каждая фаза обмотки имеет в пределах полюсного деления т одну катушечную группу. Следовательно, МДС фазы обмотки равна МДС катушечной группы. Введем в формулу (9.31) число витков фазы.
Из (8.1) получим выражение
, подставив которое в (9.31), получим формулу для амплитуды 1-й гармоники МДС фазы
(9.32)
Формула (9.32) справедлива как для однослойных, так и для двухслойных обмоток






