Снижения трудоемкости продукции и роста производительности труда можно достичь различными способами. Наиболее эффективные из них – механизация и автоматизация производства, разработка и применение прогрессивных, высокопроизводительных технологий, замена и модернизация устаревшего оборудования.
Модернизация оборудования приведет к:
- снижению трудоемкости на производство одной детали примерно на 25%.
Получим: 
Уменьшение нормы времени на изготовление одной детали приведет к изменениюпроизводственной программы:
Таблица 11.3 – Производственная программа предприятия на 2010 год
| Месяц | Эффективный ФРВ, час | Произво-дится единицей оборудо-вания, штук | Производствен-ная программа, штук | tn, нормо-час | n, штук | Общая трудоём-кость работ, час | |
| Январь | 4 246 | 182 566 | 0,175 | 31 949 | |||
| Февраль | 3 834 | 164 874 | 0,175 | 28 853 | |||
| Март | 4 246 | 182 566 | 0,175 | 31 949 | |||
| I квартал | 2 157 | 12 326 | 530 006 | 0,175 | 92 751 | ||
| Апрель | 4 109 | 176 669 | 0,175 | 30 917 | |||
| Май | 4 246 | 182 566 | 0,175 | 31 949 | |||
| Июнь | 4 109 | 176 669 | 0,175 | 30 917 | |||
| II квартал | 2 181 | 12 463 | 535 903 | 0,175 | 93 783 | ||
| 1-е полугодие | 4 338 | 24 789 | 1 065 909 | 0,175 | 186 534 | ||
| Июль | 4 246 | 182 566 | 0,175 | 31 949 | |||
| Август | 4 246 | 182 566 | 0,175 | 31 949 | |||
| Сентябрь | 4 109 | 176 669 | 0,175 | 30 917 | |||
| III квартал | 12 600 | 541 800 | 0,175 | 94 815 | |||
| Октябрь | 4 246 | 182 566 | 0,175 | 31 949 | |||
| Ноябрь | 4 109 | 176 669 | 0,175 | 30 917 | |||
| Декабрь | 4 246 | 182 566 | 0,175 | 31 949 | |||
| IV квартал | 2 205 | 12 600 | 541 800 | 0,175 | 94 815 | ||
| 2-е полугодие | 4 410 | 25 200 | 1 083 600 | 0,175 | 189 630 | ||
| Год | 8 748 | 49 989 | 2 149 509 | 0,175 | 376 164 |
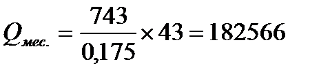
Вычисления:
|
|
|
Январь:
(штук изделий)
(штук изделий)
(затраты рабочего времени в месяцв часах).






