Наберите систему линейных уравнений в матричной записи в виде:

Рис.2. Матричная запись системы уравнений.
Методические указания по выполнению задания 2.
- в новом окне вызовите формульный редактор;
- из палитры шаблонов выберите круглые скобки;
- выберите шаблон матрицы размером 4x4;
- перемещаясь от поля к полю с помощью мыши или клавиши tab, заполните матрицу;
- выберите круглые скобки, вектор размером 4, заполните его значениями;
- введите "=";
- аналогично введите последний вектор;
- выйдите из редактора формул;
- сделайте подпись под матрицей;
- сохраните рисунок в файле.
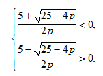
Задание 3. Наберите систему неравенств

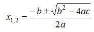
Задание 4. Наберите формулу вычисления корней квадратного уравнения

Задание 5. Наберите формулу вычисления консолидированного платежа

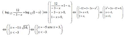
Задание 6. Наберите текст решения уравнения
