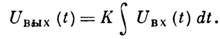
ИНТЕГРИРУЮЩАЯ ЦЕПЬ - электрическая цепь, в к-рой выходное напряжение Uвых(t) (или ток) пропорционально интегралу по времени от входного напряжения Uвх(t) (или тока):
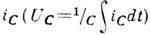
Рис. 1. Интегратор на операционном усилителе. В основе действия И. ц. лежит накопление заряда на конденсаторе с ёмкостью С под действием приложенного тока
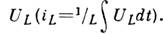
или накопление магн. потока в катушке с индуктивностью L под действием приложенного напряжения
Преимущественно используются И. ц. с конденсатором. С наиб, точностью указанный принцип реализуется в интеграторе на операц. усилителе (ОУ) (рис. 1). Для идеального ОУ разность напряжений между его входами и входные токи равны нулю, поэтому ток, протекающий через сопротивление R, равен току заряда
конденсатора С, а напряжение в точке их соединения равно нулю. В результате
Произведение RС=t, характеризующее скорость заряда конденсатора, наз. постоянной времени И. ц. Широко используется простейшая RC-И. ц. (рис. 2, а). В этой схеме ток заряда конденсатора определяется разностью входного и выходного напряжений [iC=(Uвх-Uвых)/R] поэтому интегрирование входного напряжения выполняется приближённо и тем точнее, чем меньше выходное напряжение по сравнению с входным. Последнее условие выполняется, если постоянная времени t много больше интервала времени, по к-рому происходит интегрирование. Для правильного интегрирования импульсного входного сигнала необходимо, чтобы t была много больше длительности импульса Т (рис. 3). Аналогичными свойствами обладает RL-И. ц., показанная на рис. 2, б, для к-рой постоянная времени равна L/R.
Рис. 3. 1 - входной прямоугольный импульс; 2 - выходное напряжение интегрирующей цепи при tдT.
|
|
|
И. ц. применяются для преобразования импульсов, модулированных по длительности, в импульсы, модулированные по амплитуде, для удлинения импульсов, получения пилообразного напряжения, выделения низкочастотных составляющих сигнала и т. п. И. ц. на операц. усилителях применяются в устройствах автоматики и аналоговых ЭВМ для реализации операции интегрирования.






