Критерием оценки эффективности использования оборотных средств является длительность периода оборота. Чем длительнее оборот оборотных средств и чем дольше они находятся на любой его стадии, тем менее эффективно они работают. Это является следствием того, что для поддержания постоянного оборота капитала требуются значительные денежные средства. В этом случае говорят об отвлечении денежных средств на пополнение оборотных средств. Напротив, ускорение оборачиваемости, т. е. фактически снижение совокупных нормативов оборотных средств, высвобождает необходимые денежные средства, и они могут быть направлены на другие цели фирмы.
Эффективное использование оборотных средств характеризуют три показателя: коэффициент оборачиваемости, коэффициент оборачиваемости в днях и коэффициент загрузки. Коэффициент оборачиваемости вычисляется как отношение объема реализованной продукции к среднему остатку оборотных средств:

где Vрп — объем реализованной продукции; ОС — среднегодовой остаток оборотных средств.
Коэффициент оборачиваемости показывает число оборотов, совершаемых оборотными средствами за определенный период. Из формулы видно, что увеличение количества оборотов (Коб) при неизменном объеме реализованной продукции снижает среднегодовой остаток оборотных средств, т. е. высвобождает денежные средства предприятия.
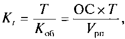
Коэффициент оборачиваемости в днях определяется как отношение числа дней в периоде к коэффициенту оборачиваемости:

где Т— календарный период (год, квартал).
Как видно из названия, коэффициент оборачиваемости в днях показывает длительность одного оборота, т. е. за сколько дней оборотные средства совершают полный оборот.
Коэффициент загрузки оборотных средств определяется как отношение среднегодового остатка оборотных средств к объему реализованной продукции:

Коэффициент загрузки оборотных средств является обратным показателем коэффициента оборачиваемости и показывает сумму оборотных средств, затраченных на 1руб. реализованной продукции.






