Лекция 12.
Тепловые расчеты ТОА делят на термодинамические, конструкторские, проектные, проектно-конструкторские, поверочные, проектно-поверочные и исследовательские.
Термодинамические расчеты проводят с целью выявления термодинамической эффективности процессов переноса теплоты, определения потерь энергии, энергетического КПД и т. д. В некоторых случаях к термодинамическим относят расчеты термодинамических (теплофизических) свойств рабочих тел.
Конструкторские расчеты выполняются на базе определенной технологической программы специализированного предприятия и разработанных каталогов основных деталей. В соответствии с этими документами и заданным типом ТОА при необходимости проводят конструктивные (компоновочные) и прочностные расчеты.
Проектные расчеты проводят с целью определения необходимой теплопередающей поверхности, а для многосекционных ТОА — для определения числа их секций и схемы соединения секций между собой. Кроме того, при проведении проектных расчетов детализируют конструкцию ТОА, компануемую, как правило, из стандартизованных или нормализованных деталей, узлов и секций, а также рассчитывают массовые, габаритные, гидравлические, экономические и другие показатели эффективности ТОА.
|
|
|
Проектный расчет включает совокупность вычислительных операций, необходимых для выбора ТОА из типоразмерных рядов или конструирования нового, компонуемого из стандартизованных узлов.
При проектировании ТОА без использования ЭВМ можно воспользоваться безразмерными характеристиками. Если при расчете требуется определить необходимую площадь поверхности теплообмена F и при этом заданы k, W2, W1, конечные температуры и характер относительного движения потоков, то применяют схему расчета с использованием зависимости ε = f (N). В общем случае сначала по известным конечным температурам вычисляют ε, а также отношение Wmin / Wmax. Используя зависимость

для заданной схемы движения потоков, по величине Wmin / Wmax определяют N, а площадь поверхности теплообмена находят по формуле

где k-коэффициент теплопередачи.
При заданной формулировке задачи использование среднелога-рифмического температурного напора также не вызывает сложностей, и трудоемкость расчета примерно такая же, как и при расчете по методу безразмерных характеристик.
В настоящее время все более широкое распространение получают методы, ориентированные на реализацию в системах автоматизированного проектирования (САПР) и отражающие современные тенденции внедрения средств вычислительной техники в практику инженерных расчетов. Однако их рассмотрение выходит за рамки настоящего учебника.
|
|
|
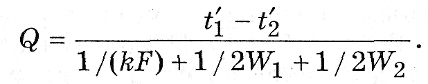
Поверочные расчеты необходимы для определения неизвестных концевых температур или требуемых режимных параметров (расхода, давления, температуры теплоносителей) при заданных конструкции и схеме тока. В итоге выявляются показатели эффективности ТОА.
Для спроектированного или находящегося в эксплуатации ТОА целью поверочного расчета является, как правило, определение конечных температур теплоносителей t'1 и t"2 на выходе из аппарата, а также количества переданной теплоты. При таком поверочном расчете известны лишь площадь поверхности теплообмена F, температура теплоносителей на входе t'1 и t'2, коэффициент теплопередачи k и полные трудоемкости W1 и W2 теплоносителей.
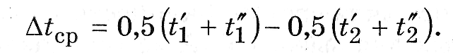
Если температура поверхности теплообмена изменяется незначительно (∆ tб/ ∆ t M < 1,7) и ее распределение можно принять линейным, то конечные температуры теплоносителей определяют следующим образом:
(11.1)
При линейном изменении температур вдоль поверхности теплообмена допускается использование среднеарифметического температурного напора
(11.2)
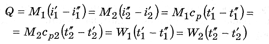
Подстановка уравнений (11.1) и (11.2) в уравнение теплового баланса

приводит к следующему выражению:

Решение этого уравнения относительно Q дает формулу для расчета количества переданной теплоты:

Далее вычисляют температуру теплоносителей на выходе из ТОА.
На практике характер изменения температур чаще всего нелинеен и зависит от схемы движения теплоносителей, соотношения между их полными теплоемкостями и площади поверхности теплообмена.
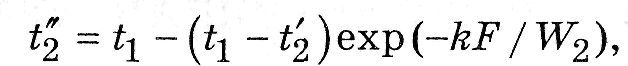
Для противоточной схемы движения теплоносителей справедливо соотношение

или

Из последнего уравнения следует, что вдоль поверхности теплообмена температурный напор ∆t изменяется по экспоненциальному закону, а характер этого изменения зависит от соотношения между W1 и W2. Если W1 < W2, то температурный напор уменьшается в направлении движения горячей жидкости, а при W1 > W2 наблюдается обратная картина.
Для расчета конечных температур при противотоке используют следующие формулы:


Когда температура одного из теплоносителей остается постоянной вдоль поверхности теплообмена при W1 →∞, то

а

При использовании метода безразмерных характеристик схема поперечного расчета будет выглядеть так. Используя исходные данные, вычисляют N и отношение Wmin / Wmax. Далее по известным N и Wmin / Wmax для заданной схемы движения потоков определяют величину ε. Тепловую мощность ТОА рассчитывают по выражению

Значения конечных температур теплоносителей определяют из равнений:

Проектно-поверочный расчет последовательно объединяет в одном расчетном цикле проектный (проектно-конструкторский) и поверочный расчеты. Он необходим, когда площадь требуемой поверхности теплопередачи ТОА, определенную в проектном расчете, увеличивают с целью резервирования или запаса, и также в случае округления рассчитанных конструктивных размеров до установленных нормами величин, что может привести к увеличению или уменьшению площади F проектируемого ТОА.
Исследовательские расчеты выполняются на основе проектных или поверочных расчетов для оптимизации термодинамических, энергетических, конструктивных или экономических показателей ТОА, а также с целью корректировки каких-либо уравнений, используемых в реализуемой математической модели ТОА по экспериментальным данным; выявления влияния различных параметров и условий эксплуатации на показатели эффективности ТОА; условия переноса теплоты и т. д. Как правило, при проведении расчетных исследований выполняются десятки и сотни расчетов по специальному плану, разработанному согласно основным положениям математической теории планирования эксперимента.
|
|
|