Величина спроса - это потенциальная выручка, которая определяется как произведение цены изделия (Ц) на спрос (Q). Общая величина спроса - это сумма частных величин спроса, т.е.
где п - количество изделий.
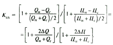
Эластичность спроса - это соотношение цены и объема реализации, когда потери, возникающие в результате снижения цен (или объема реализации), покрываются дополнительной выручкой от увеличения объема реализации (или роста цен). Спрос неэластичен, когда потери превышают дополнительную выручку. При единичной эластичности, т.е. когда коэффициент эластичности равен единице, потери равны дополнительной выручке. При коэффициенте эластичности, превышающем единицу, выручка растет. Эластичность может быть выражена как отношение темпов относительного изменения объема реализации к темпам относительного изменения цен, т.е. КЭЛ = tQ / tЦ или

При укрупненной оценке КЭЛ = tQ /tЦ = (Qн/Qс)/(Цс/Цн) при условии, если Qн > Qс; Цн < Цс.
При Qн <Qс; Цн > Цс

где Qн, Qс - годовой объем реализации новый и старый, шт.;
|
|
|
Цн,Цс - оптовая цена новая и старая, руб.;
Q, Ц - изменение объема реализации и цены. Данные показатели могут быть положительными и отрицательными (±Q, ±Ц). При расчете темпов изменения прироста эти показатели принимаются с положительным знаком независимо от фактически полученного знака.
Тест
1. Какие требования необходимо выполнить, чтобы получить от реализации продукции запланированный прирост выручки:
а) величина спроса должна резко превышать величину предложения;
б) величина спроса не должна резко превышать величину предложения;
в) ценовая эластичность должна быть равна единице;
г) ценовая эластичность должна быть больше единицы;
д) текущие издержки на производство единицы продукции должны расти;
е) текущие издержки на производство единицы продукции должны быть неизменными или сокращаться?
2. Какое определение раскрывает понятие "емкость рынка":
а) доля определенного товара на рынке;
б) выручка от реализации определенного товара, т.е. произведение цены на объем реализованного товара;
в) потенциальная выручка, т.е. произведение цены товара на предполагаемый объем реализации;
г) структура товара на рынке?
3. Что необходимо для сегментации рынка:
а) изучение всей совокупности требований покупателя;
б) наличие определенного объема товара на рынке;
в) изучение потребительских характеристик покупателя;
г) рост доли квалифицированных продавцов;
д) повышение качества товара?
4. Что отражает понятие "спрос":
а) количество товара на рынке;
б) стоимость товара, представленного на рынке;
в) совокупную общественную потребность в различных товарах с учетом платежеспособности покупателя;
|
|
|
г) количество продавцов на рынке;
д) количество номенклатурных позиций товара на рынке?
5. Что отражает понятие "величина спроса":
а) установленную или договорную цену определенного товара;
б) совокупную общественную потребность в различных товарах с учетом платежеспособности покупателя;
в) наличие определенного объема (количества) товара на рынке;
г) стоимость товара, представленного на рынке;
д) структуру товара, представленного на рынке?
6. Что гласит "закон спроса":
а) по мере роста цен растет объем реализации;
б) по мере роста цен объем реализации снижается и, наоборот, по мере роста объема реализации цена падает;
в) по мере роста цен объем реализации остается неизменным;
г) по мере роста объема реализации увеличивается количество продавцов?
7. Что отражает понятие "предложение":
а) количественную оценку товара на рынке;
б) номенклатуру продукции, представленную на рынке;
в) стоимость товара для реализации;
г) структуру товара на рынке;
д) стоимость товара, реализуемого одним товаропроизводителем?
8. Что гласит "закон предложения":
а) по мере роста количества товара на рынке увеличивается доход товаропроизводителя
б) по мере роста количества товара на рынке повышается цена;
в) по мере роста количества товара на рынке цена падает;
г) количественный рост товара на рынке обусловлен снижением его качества;
д) рост спроса прямо пропорционален росту количества товара на рынке?
9. Что означает понятие "эластичность спроса":
а) увеличение объема реализации;
б) рост выручки товаропроизводителя;
в) равновесие спроса и предложения;
г) расширение возможностей покупателя на рынке;
д) отсутствие конкуренции на определенный товар?
11. Что является основой формирования номенклатурного плана производства:
а) рост потребности (спроса) на конкретную продукцию;
б) превышение уровня конкурентоспособности товара собственного производства над уровнем конкурентов;
в) обеспечение максимальной прибыли от реализации данного товара;
г) более высокая загрузка производственных мощностей;
д) минимизация текущих затрат?
12. Что означает позиционирование товара на рынке:
а) расширение номенклатуры товара на рынке;
б) равновесие спроса и предложения;
в) обеспечение конкурентоспособности товара;
г) увеличение доли рынка товара определенного назначения;
д) обеспечение платежеспособности спроса?