Возрастно-половые особенности проявления свойств нервной системы

Вопреки бытующему мнению, что типологические особенности свойств нервной системы, как и темперамент, остаются в течение жизни неизменными, исследования показывают, что это далеко не так. В ряде работ выявлено, что они изменяются в различные возрастные периоды становления человека.

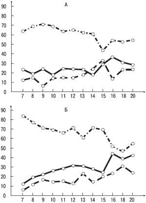
Изменение силы нервной системы. По данным А. П. Крючковой и И. М. Островской (1957), к концу первого года жизни ребенка сила нервной системы увеличивается. В. Э. Чудновский (1963) отмечает, что у дошкольников имеется слабость нервной системы, которая выражена тем меньше, чем меньше возраст детей. Таким образом, уже из этих данных следует: чем старше возраст детей, тем сильнее становится их нервная система. Исследование А. М. Сухаревой (1972) данного вопроса при обращении к школьникам подтвердило эту закономерность. Как видно на рис. 5.8, от 7 до 16—17 лет количество учащихся, имеющих слабую нервную систему, уменьшается, а имеющих сильную и среднюю нервную систему увеличивается. Эта закономерность выражена как у лиц мужского, так и женского пола, но у последних более ярко (девочек 7–8 лет со слабой нервной системой больше, чем их сверстников – мальчиков). Снижение среди девочек от 7 до 17 лет числа лиц со слабой нервной системой выявлено и Ж. Е. Фирилевой (1974). В возрасте 18—25 лет происходит некоторая стабилизация числа лиц с сильной и слабой нервной системой. При этом исчезают и различия в количестве людей с сильной и слабой нервной системой между мужчинами и женщинами.

Рис. 5.8. Изменение с возрастом количества лиц с различной силой нервной системы. По горизонтали – возраст, годы; по вертикали – число случаев, %. Сплошная линия – сильная нервная система, пунктирная – средняя сила, штрихпунктирная – слабая нервная система. А – данные для лиц мужского пола, Б – данные для лиц женского пола.

Изменение подвижности нервных процессов. Существует ряд работ, в которых свойство подвижности изучалось у людей разного возраста. Однако сопоставить эти данные и вынести суждения о закономерностях возрастных изменений такого свойства нервной системы сложно потому, что в этих исследованиях использовались разные показатели, не являющиеся прямыми показателями подвижности и поэтому выделенные в послепавловский период в отдельные динамические характеристики. Например, Л. Н. Куркчи и Г. В. Попов (1968), Н. В. Кольченко (1967), С. И Молдавская (1965) использовали максимальный темп, который может усвоить испытуемый. По усвоению заданного темпа зрительных сигналов судил о подвижности и Р. Л. Рабинович (1965). Понятно тогда и различие в мнениях относительно того, как с возрастом изменяется свойство подвижности.

Вместе с тем быстроту исчезновения нервных процессов в качестве критерия подвижности – инертности изучали немногие авторы. А. И. Шлемин (1968) измерял реакцию последействия при предъявлении тормозного раздражителя детям 11—16 лет. Более высокая подвижность отмечена им в возрасте 13—14 лет. Уменьшение времени последействия в возрасте с 5 до 17 лет отмечена П. П. Балевским (1963). В то же время Н. И. Касаткин (1948) утверждал, что подвижность нервных процессов с возрастом ухудшается.

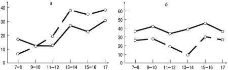
Более полная картина возрастных изменений подвижности возбуждения и торможения (по длительности реакции последействия) представлена в работах Н. Е. Высотской (1972б), А. Г. Пинчукова (1974а) и Ж. Е. Фирилевой (1974), обследовавших в общей сложности около 2500 человек. Этими авторами выявлена одна и та же закономерность: снижение подвижности возбуждения у детей в период от 6–7 лет к 8–9 годам, затем рост подвижности во время полового созревания (11—14 лет), новое, но менее выраженное снижение подвижности с 14 до 16 лет и некоторая стабилизация в возрасте 17—20 лет (см. рис. 5.9). Почти такая же динамика прослеживается и в отношении подвижности торможения.

Рис. 5.9. Изменение с возрастом подвижности возбуждения. По горизонтали – возраст, годы; по вертикали – количество лиц, %. Сплошная линия – данные Н. Е. Высотской, пунктирная – Ж. Е. Фирилевой, шрихпунктирная – А. Г. Пинчукова.

Обращает на себя внимание тот факт, что среди мальчиков 7–16 лет количество лиц с подвижностью нервных процессов больше, чем среди девочек (рис. 5.10).

Рис. 5.10. Изменение с возрастом подвижности возбуждения у лиц мужского и женского пола (Н. Е. Высотская, 1972). По горизонтали – возраст, годы; по вертикалистепень подвижности (в условных единицах). Сплошная линия – данные лиц мужского пола, пунктирная – данные лиц женского пола.

Можно предполагать, что выявленное в ряде работ увеличение числа детей 6– 7 лет с подвижностью нервных процессов (по сравнению с 5-летними и 8–9-летними детьми) тоже связано с гормональным всплеском, так как в этом возрасте, по данным возрастной физиологии, усиливается выработка в организме мужского полового гормона.

Изменение баланса нервных процессов. По поводу возрастных изменений баланса нервных процессов также имеются противоречивые свидетельства, во многом связанные с различием методических приемов его изучения. Некоторыми авторами отмечается наличие большого количества детей с преобладанием возбуждения в период полового созревания (Г. П. Антонова, 1968; А. И. Шлемин, 1968;

П. П. Балевский, 1963), что затрудняет образование у этих детей дифференцировок при выработке условных рефлексов. По данным сотрудников А. Г. Иванова-Смоленского, в возрасте от 5 до 12 лет усиливается внутреннее торможение, что приводит к все большей уравновешенности нервных процессов.

Как уже говорилось, мною выделяются два вида баланса нервных процессов – «внешний» и «внутренний».

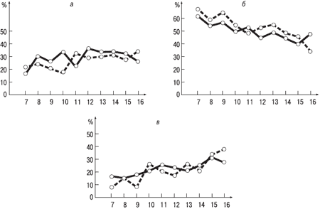
Изучение возрастных изменений «внешнего» баланса (М. И. Семенов, 1972; А. Г. Пинчуков, 1974; Ж. Е. Фирилева, 1974) показало: в младшем школьном возрасте преобладают дети с уравновешенностью нервных процессов (как среди мальчиков, так и среди девочек). Лиц с преобладанием торможения значительно меньше, но еще меньше тех, у кого преобладает возбуждение (рис. 5.11).

Рис. 5.11. Изменение с возрастом «внешнего» баланса. По вертикали – число лиц, %; по горизонтали – возраст, годы; а – изменение числа случаев с преобладанием возбуждения, б – изменение числа случаев с преобладанием торможения. Сплошная линия – данные Ж. Е. Фирилевой (1974), пунктирная линия – данные М. И. Семенова (1972).

Однако с 10 лет у девочек и с 11 лет у мальчиков соотношение между этими типологическими группами начинает изменяться в сторону увеличения числа детей с преобладанием возбуждения (сначала за счет уменьшения числа тех, у кого преобладает торможение, а затем и за счет снижения числа их сверстников с уравновешенностью). Максимальное возрастание количества детей с преобладанием возбуждения приходится у девочек на возраст 14 лет, а у мальчиков – на возраст 15 лет, т. е. на период полового созревания.

Рис. 5.12. Изменение с возрастом «внутреннего» баланса (А. Г. Пинчуков, 1974). По горизонтали – возраст, годы; по вертикали – число случаев, %. Сплошная линия – данные лиц мужского пола, пунктирная – данные лиц женского пола. а – преобладание возбуждения.

Тогда же начинает проявляться качественно новый сдвиг баланса в обратную сторону: на фоне большого числа лиц с преобладанием возбуждения увеличивается количество тех, у кого отмечается преобладание торможения. Особенно заметен этот процесс у девушек. В возрастной период от 14—15 лет до 18—19 лет резко снижается количество лиц с уравновешенностью нервных процессов.

«Внутренний» баланс, по данным этих же авторов, изменяется с возрастом так же, как и «внешний». Различие заключается лишь в сроках появления фаз: по «внутреннему» балансу смена фаз начинается на 2 года раньше. В младшем школьном возрасте преобладают дети с уравновешенностью нервных процессов, в возрасте 9–11 лет резко увеличивается число детей с преобладанием возбуждения. В 14—15 лет вновь в большинстве лица с уравновешенностью нервных процессов при значительном увеличении числа тех, у кого преобладает торможение (рис. 5.12).





Подборка статей по вашей теме: