Учебное пособие
Редактор Е.В. Смолякова
Компьютерная верстка
Подписано в печать 2013 г. Формат 60×84 1/16
Бумага типогр №1. Печать RISO
Уч. –изд. Усл. печ. л. Тираж экз. Заказ
410003, Саратов, ул. Радищева, 89. СГСЭУ
[1] См.: Цены и ценообразование: учебник для вузов / под ред. И.К. Салимжанова. М.: ЗАО «Финстатинформ», 1999.
[2] См.: Абрютина М.С. Ценообразование в рыночной экономике: учебник. М.: Дело и Сервис, 2002.
[3] См.: Голощапов Н.А., Соколов А.А. Цены и ценообразование. М.: Приориздат, 2004.
[4]См.: Гальперин В.М., Игнатьев С.М., Моргунов В.И. Микроэкономика / общ. ред. В.М. Гальперина.
СПб.: Экономическая школа, 1997. Т. 2. С. 51.
[5] Аткин Б. Политика цен // Финансовое планирование и контроль: пер. с англ. / под ред. М.А. Поукока и А.Х. Тейлора. М.: ИНФРА-М, 1996. С. 77.
[6] Нэгл Т.Т., Холден Р.К. Стратегия и тактика ценообразования. СПб.: Питер, 2001. С.18.
[7]См.: Нэгл Т.Т., Холден Р.К. Стратегия и тактика ценообразования. СПб.: Питер, 2001. С. 49
[8] См.: Нэгл Т.Т., Холден Р.К. Стратегия и тактика ценообразования. – СПб.: Питер, 2001. – С.19
|
|
|
[9]См.: Липсиц И.В. Ценообразование (Управление ценообразованием в организации): учебник. 4-е изд. М.: Экономистъ, 2006.
[10] См.: Нэгл Т.Т., Холден Р.К. Стратегия и тактика ценообразования. СПб.: Питер, 2001. С. 121-122
[11] Нэгл Т.Т., Холден Р.К. Стратегия и тактика ценообразования. СПб.: Питер, 2001. С. 124.
[12] См.: Нэгл Т.Т., Холден Р.К. Стратегия и тактика ценообразования. СПб.: Питер, 2001. С. 149.
[13]См.: Нэгл Т.Т., Холден Р.К. Стратегия и тактика ценообразования. СПб.: Питер, 2001. С. 132.
[14] См.: Нэгл Т.Т., Холден Р.К. Стратегия и тактика ценообразования. СПб.: Питер, 2001. С. 69.
[15] Этот показатель также называют маржинальной прибылью, предельным доходом, валовой маржой, контрибуционной маржой.
[16] При неизменных постоянных затратах изменение цены приведет к одинаковому изменению прибыли от продаж и предельной прибыли.
[17] Фирмы всегда подвергаются определенному риску при изменении цены, поскольку нет гарантий, что потребители поведут себя именно так, как предсказывают прогнозы и расчеты.
[18] Совокупной называется предельная прибыль в расчете на весь объем продаж, а не на единицу. Предельная прибыль на единицу продукции также называется удельной предельной прибылью.
[19]Это объясняется тем, что при нисходящей кривой спроса продать дополнительную единицу товара фирма может, лишь снизив его цену. Тогда изменение его общей выручки при увеличении продаж с Q=n до Q=n+1, т.е. предельная выручка будет равна новой, сниженной цене за минусом потери выручки от продажи всех допредельных n единиц товара по этой же сниженной цене: MRn+1 = Pn+1 – (Pn – Pn+1)Qn. Поскольку Pn-Pn+1 >0, то MRn+1<Pn+1.
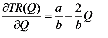
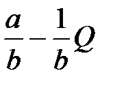
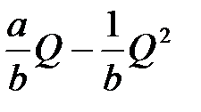
[20]Пусть спрос задан функцией Q = a – bP, где a >0 и b >0 являются константами. Тогда P =
. Поскольку TR(Q) = QP(Q), то при линейной функции спроса TR(Q) =
и MR(Q) =
, т.е. функция MR(Q) линейна.
|
|
|
[21]На основе определения общей и предельной выручки можно записать

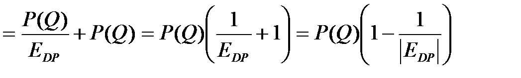
[22]Если ½EDP½<1, то MR<0, тогда как MC>0, т.е. MR¹MC. Поэтому прибыль такой фирмы может быть максимальной лишь при EDP³1.
[23] Существует несколько известных моделей олигополии, отличающихся характером взаимодействия и реакции олигополистов, а также их численностью. Различают, например, модели некооперированной олигополии, когда продавцы принимают решения независимо друг от друга, и кооперированной олигополии, когда продавцы вступают в сговор. Также различают количественную олигополию, при которой фирмы назначают величину выпуска (управляемая переменная), и ценовую олигополию, где назначают цену.
[24]См.: Липсиц И.В. Коммерческое ценообразование: учебник. М.: Издательство БЕК, 2000. С.112.
[25]См.: Нэгл Т.Т., Холден Р.К. Стратегия и тактика ценообразования. СПб.: Питер, 2001. С. 182.
[26] См.: Экономическая стратегия фирмы: учеб. пособие / под ред. А.П. Градова. СПб.: Специальная Литература, 1999. С. 132.
[27] См.: Аткин Б. Политика цен // Финансовое планирование и контроль: пер. с англ. / под ред. М.А. Поукока и А.Х. Тейлора. М.: ИНФРА-М, 1996. С. 70-72.
[28] См.: Нэгл Т.Т., Холден Р.К. Стратегия и тактика ценообразования. СПб.: Питер, 2001. С. 256.
[29] См.: Аткин Б. Политика цен // Финансовое планирование и контроль: пер. с англ. / под ред. М.А. Поукока и А.Х. Тейлора. М.: ИНФРА-М, 1996. С. 93.
[30] См.: Цены и ценообразование / под ред. В.Е. Есипова. СПб.: Изд-во «Питер», 1999. С. 268.
[31] См.: Экономическая стратегия фирмы. С. 295-296.
[32] См.: Статистика рынка товаров и услуг / под ред. И.К. Белявского. М., 1995. С. 184.
[33] См.: Формы бухгалтерской отчетности. Приложения к приказу Минфина РФ от 13.01.2000 г. № 4н // Реформа бухгалтерского учета. Федеральный закон «О бухгалтерском учете». Тринадцать положений по бухгалтерскому учету. М.: «Ось-89», 2000. С. 90.
[34] См.: Цены и ценообразование / под ред. В.Е. Есипова. СПб.: Издательство «Питер», 1999. С. 228.
[35]См.: Гальперин В.М., Игнатьев С.М., Моргунов В.И. Микроэкономика / общая ред. В.М. Гальперина. СПб: Экономическая школа, 1996. Т. 1. С. 81.






