от давления в зоне контакта деталей
Здесь рассмотрим зависимость интенсивности изнашивания деталей в условиях гидродинамической смазки от давления в зоне трения, а также интенсивности усталостных разрушений от напряжений в деталях.
Как следует из уравнения (3.1), работа трения в основном превращается в теплоту и незначительно в деформацию и разрушение поверхности трения при допустимых видах изнашивания. По определению Б. И. Костецкого [87, 88] это происходит в области стационарного процесса (рис.3.13), а при критическом давлении развиваются паталогические процессы с резким повышением интенсивности изнашивания.

Рис.3.13. Зависимость интенсивности изнашивания от давления:
I - стационарный процесс (0<P<Pкр); II - патологические процессы (P>Pкр) [88]
Обычно повышение давления в зоне трения, а следовательно, и работы трения, вызывает повышение температуры поверхности трения и масляной пленки и согласно (3.11) или (3.12) интенсивность изнашивания. Однако даже при постоянной температуре поверхности трения, то есть постоянной вязкости масла h в комплексной характеристике режима l. (3.2) его значение может меняться в зависимости от давления в зоне трения, что влияет на интенсивность изнашивания.
|
|
|
Рассмотрим сначала зависимость интенсивности изнашивания поверхности трения от давления при неизменных скоростном (n) и тепловом (tП или h) режимах узла трения. Для этого используем формулу толщины масляной пленки (3.7) и зависимость a от h (2.36). При постоянных n и h формула (3.7) приобретает вид
| (3.23) |
где а - параметр, зависящий от состояния узла трения, скоростного и теплового режимов его работы. То есть повышение давления снижает толщину масляной пленки по обратно пропорциональной зависимости. Снижение h, как было уже показано ранее (рис.3.4 и формулы (3.9) и (3.10)), ведет к росту интенсивности изнашивания. Следовательно, с учетом (3.10) получим зависимость a от Р при n=const и h = const
| (3.24) |
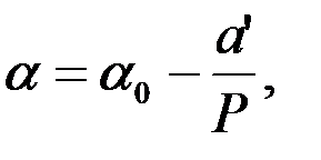
где a0 - интенсивность изнашивания при h=0, то есть при очень большом давлении (теоретически Р=¥), а' — параметр.
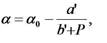
Из формулы (3.24) следует: при Р=0,a=-¥ что практически не имеет смысла. Исследования закономерностей трения [23, 31, 60, 67, 81, 84, 85 87, 88, 91, 145, 174, 183, 203, 204] показывают, что даже при P=0 есть сила трения и происходит изнашивание. Это обусловлено способностью трущихся поверхностей к взаимному сцеплению (силы Ван-дер-Ваальса), что видно из рис.3.13 (aстац) [88]. Поэтому зависимость (3.24) следует записать в виде
| (3.25) |
где b' - учитывает поправку на взаимное сцепление.
В реальных условиях автомобильных агрегатов обеспечить постоянство теплового режима узла трения практически невозможно даже при постоянном тепловом режиме всего агрегата. Поэтому следует рассмотреть зависимость aот Р при условии зависимости tП от Р и условий теплообмена узла трения с окружающей средой.
|
|
|
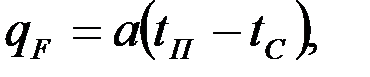
Зависимость тепловыделений в зоне трения от показателей напряженности режимов работы (давления и скорости скольжения) в общем виде можно получить аналитически, исходя из энергетических соотношений при трении [1, 3, 43, 52]. Изменение температуры Dt поверхности трения происходит пропорционально изменению количества теплоты Dq при трении в единицу времени на единице поверхности и обратно пропорционально теплоемкости трущихся тел СТ
| (3.26) |
Количество тепла q, выделяющееся при трении в единицу времени на единице поверхности, прямо пропорционально мощности трения Nmp, обусловленной давлением Р, скоростью скольжения V, коэффициентом трения f
| (3.27) |
где С' - коэффициент пропорциональности, характеризующий степень перехода механической работы в теплоту.
Поскольку изнашивание при критической температуре и выше является недопустимым, то будем рассматривать зависимость (3.27) до критической температуры. В этих условиях согласно [88, 145, 181-184] наблюдается допустимое изнашивание с монотонно возрастающей интенсивностью изнашивания при увеличении Р. Температура масла на поверхности трения в этих пределах не превышает 150°С для автомобильных агрегатов. Коэффициент трения с ростом давления в этих условиях изменяется незначительно [23, 88]. Так по данным [23], при изменении температуры дизельного масла в пределах от 50 до 150°С при трении алюминиевого сплава по стали коэффициент трения изменяется лишь на 6-8% (рис.3.14).
| Рис.3.14. Зависимость коэффициента трения f алюминиевого сплава по стали при смазке дизельным маслом от температуры tM масла [23] | |
Поэтому практически изменением коэффициента трения с изменением давления в указанных пределах температуры масла можно пренебречь, тогда
то есть
| (3.28) |
где qo - количество теплоты, выделяющееся при трении в единицу времени на единице поверхности при установившихся условиях трения P0 и V0;DР и DV - изменение соответственно давления и скорости; Dq - изменение теплоты, обусловленное DР и DV.
С учетом зависимости (3.26) при постоянном скоростном режиме (DV=0)
а | (3.29) |
где tП0 - температура поверхности трения при Р=0, что обусловлено наличием сил Ван-дер-Ваальса; С" - коэффициент пропорциональности, зависящий от состояния поверхностей трения, теплоемкости деталей и скоростного режима.
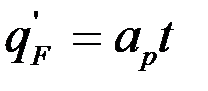
Зависимость (3.29) справедлива при незначительных изменениях Р. С ростом температуры поверхности трения возрастает теплоотвод в окружающую среду qF
| (3.30) |
где а - коэффициент теплоотдачи; tC - температура окружающей среды.
Аналитическую зависимость изменения температуры поверхности трения от давления в зоне трения можно получить из уравнения теплового баланса. Выделившаяся при трении теплота расходуется на нагрев и поглощается окружающей средой.
Поскольку коэффициент трения до критической температуры изменяется незначительно [23] (рис.3.14), то при изменении давления в зоне трения на единицу, выделившаяся при этом теплота
постоянная, то есть не зависит от величины давления (
). Часть ее идет на изменение температуры поверхности трения - Cdt(dt - изменение температуры, вызванное изменением давления на dP). Другая часть выделившейся при трении теплоты отводится в окружающую среду. Согласно (3.30), эта часть тем больше, чем выше температура поверхности трения (точнее разница температур поверхности трения и окружающей среды). Если изменение этой разницы составляет t (t=tП-tП0-tС), а при изменении давления на единицу в окружающую среду отводится тепло
, где ар - коэффициент теплоотдачи, отнесенный к единице давления (ккал/град. МПа), то при изменении давления на dP отведенное тепло составит а рtdP.
|
|
|
Теплоотдача от поверхности трения происходит как в масло, так и внутрь деталей и в окружающий воздух. Теплоотдача идет независимо от величины давления, если оно не вызывает изменения температуры поверхности трения, поэтому коэффициент теплоотдачи не зависит от давления, то есть а р=const в пределах рассматриваемых граничных условий. С учетом этого уравнение теплового баланса будет в виде
| (3.31) |
или
в котором составляющей а pdtdP как более высокого порядка малости можно пренебречь, тогда дифференциальное уравнение теплового баланса примет вид
| (3.32) |
Интегрирование дифференциального уравнения теплового баланса (3.32) при начальных условиях: t=0 при Р=0, позволяет получить зависимость t от Р в виде
| (3.33) |
Отношение
имеет размерность температуры и представляет собой изменение температуры поверхности трения при изменении давления на единицу вследствие тепловыделения. Отношение а р/С имеет размерность обратную давлению и представляет собой соотношение между теплоотводом и нагревом деталей. С учетом температуры tП0 при Р=0 зависимость (3.33) можно записать
| (3.34) |
где 
Общий вид зависимости интенсивности изнашивания а поверхности трения от давления Р можно теперь записать с учетом зависимостей (3.11) и (3.34)
| (3.35) |
Графически эта зависимость в области до критической температуры масла приведена на рис.3.15. Как видно из (3.35), зависимость содержит множество параметров, экспериментальное определение которых затруднительно, что свидетельствует о целесообразности аппроксимации ее более простым уравнением. С учетом линейной аппроксимации (3.12) и уравнения (3.34) получаем экспоненциальное уравнение
| (3.36) |
где а, b, с — экспериментальные параметры больше нуля, смысл которых можно определить из уравнений (3.12) и (3.34). На рис.3.15 оно изображено пунктирной линией, которая показывает на незначительное различие графиков (3.35) и (3.36).
Для элементов, разрушающихся, в основном, при внезапных отказах, повышение нагрузочного режима ведет к прямолинейному повышению вероятности разрушения согласно линейности закона Гука.
|
|
|
| Рис.3.15. Зависимость интенсивности изнашивания от давления: 1 - функциональная (2.60); 2 - аппроксимирующая (2.61) |
При усталостных отказах согласно диаграмме предельных разрушений [161] повышение статической составляющей напряжений до sТ способствует повышению предела выносливости по отношению к симметричному циклу. Однако амплитуда напряжений при обеспечении одного и того же ресурса в этом случае сокращается по формуле [161]
| (3.37) |
гдеsm - средний уровень напряжений: ys - коэффициент чувствительности к асимметрии цикла, характеризующий уменьшение амплитуды из-за наличия статической составляющей. В зависимости от материала величина ys изменяется обычно в пределах от 0,1 до 0,3 [161].
Рис.3.16. Зависимость температуры рабочей поверхности вкладыша t от нагрузки Р на подшипник при n, мин-1: 1 - 950; 2 - 1650; 3 - 2960 | Рис.3.17. Зависимость интенсивности изнашивания шеек a от нагрузки Р на подшипник при n, мин-1: 1 - 950; 2 - 1650; 3 - 2960 |
Для экспериментальной проверки справедливости зависимостей (3.34) и (3.36) нами были проведены экспериментальные исследования с использованием высокоточных методов измерения износа деталей, как на лабораторной установке, так и на двигателях в стендовых и эксплуатационных условиях [43, 52, 50]. Результаты исследований приведены на рис. 3.16 – 3.20,. Результаты других исследований [145, 169], приведены на рис. 3.21, 3.22.

Рис.3.18. Зависимость температуры t (а) масла в картере двигателя (1), коренных вкладышей (2), интенсивности изнашивания a (б) коренных (3) и шатунных (4) шеек от нагрузки Р на двигатель

Рис.3.19. Зависимость температуры масла tм в двигателе ЯМЗ-240Б (1) от тягового усилия Рт трактора К-701 и воды tв в системе охлаждения двигателя ЯМЗ-238 (2) от тягового усилия Рт автомобиля КрАЗ-256Б

Рис.3.20. Зависимость скорости изнашивания гильз цилиндров (1) верхних компрессионных колец (2), шатунных шеек (3), верхних шатунных вкладышей (4) от нагрузки на двигатель ЯМЗ-240Б
| Рис.3.21. Зависимость температуры колодок от нагрузки: 1 - баббит на стали; 2 - Cu-Pb на стали; 3 - баббит на меди; 4 - сплошной алюминий [52] |
| Рис.3.22. Зависимость температуры стенок tс и интенсивности изнашивания a гильз цилиндров от нагрузки n на двигатель Ч10,5/13 при температуре воды на выходе: 1 - 25 °С; 2 - 65 °С; 3 - 100 °С; 4 - с дизельным топливом ДТ-3; 5 - с дизельным топливом ДТ-А [169] |
Таким образом, повышение давления в зоне трения в допустимых пределах (до критической температуры масляной пленки) приводит к снижению толщины масляной пленки и повышению интенсивности изнашивания даже при постоянной температуре поверхности трения по зависимости (3.25), а также к повышению температуры поверхности трения по зависимости (3.34) и в итоге интенсивности изнашивания по зависимости (3.35), которую целесообразно аппроксимировать более простой экспоненциальной зависимостью (3.36), отражающей и физический смысл процессов трения и изнашивания.
а
Рис.3.16. Зависимость температуры рабочей поверхности вкладыша t от нагрузки Р на подшипник при n, мин-1: 1 - 950; 2 - 1650; 3 - 2960
Рис.3.17. Зависимость интенсивности изнашивания шеек a от нагрузки Р на подшипник при n, мин-1: 1 - 950; 2 - 1650; 3 - 2960