Как показывает анализ режимов работы агрегатов в эксплуатации [15, 34, 43, 44, 45, 46, 52, 47, 48, 50, 79], скоростной режим изменяется в широких пределах, что влияет на изменение интенсивности изнашивания. Как следует из зависимости коэффициента трения от комплексной характеристики режима l (рис.3.3), линейной связи l и частоты вращения вала n (или скорости скольжения), при малой скорости скольжения не обеспечивается жидкостное трение, а следовательно, и интенсивность изнашивания большая. Зависимость a от скорости V скольжения согласно исследованиям Б. И. Костецкого [88] и других сложная и неоднозначная (рис.3.23).
| Рис.3.23. Зависимость интенсивности изнашивания от скорости относительного перемещения поверхностей трения |
|
При малых значениях скорости скольжения a сначала возрастает пропорционально V, так как изнашивание идет практически без смазки. Затем (от середины области I на рис.3.23) между поверхностями трения начинает возникать и возрастать масляный клин, толщина которого согласно пропорциональна скорости скольжения (или частоте n вращения вала), что ведет к снижению интенсивности изнашивания (вторая половина области I на рис.3.23). Область II характеризует стационарный процесс, при котором с ростом скорости интенсивность изнашивания возрастает незначительно (относительно области I), что обусловлено возрастанием температуры в зоне трения. При критической температуре масла (и критической скорости
на рис.3.23) происходит резкое возрастание интенсивности изнашивания (область III на рис.3.23), обусловленное потерей маслом смазочной способности.
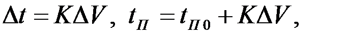
Аналитическую зависимость интенсивности изнашивания от скорости можно получить исходя из зависимости толщины масляной пленки h от скорости (3.7), интенсивности изнашивания a от h (3.10), температуры поверхности трения tП от скорости и зависимости a от tП (3.11). Следовательно, сначала необходимо получить зависимость tП от V. Здесь так же, как и в случае рассмотрения давления в зоне трения необходимо проанализировать выделение тепла и его отвод. Выделение тепла с ростом V описывается приведенными ранее зависимостями (3.27 и 3.28), откуда с учетом соотношения (3.26) при постоянном нагрузочном режиме получим
| (3.38) |
где tП0 - температура поверхности трения при
, то есть с момента возникновения масляного клина; К - коэффициент пропорциональности, зависящей от состояния поверхности трения масла, теплоемкости деталей и нагрузочного режима.
Зависимость (3.38) так же как и (3.29), справедлива лишь при незначительных изменениях V в силу повышения теплоотвода по соотношению (3.30) с ростом температуры поверхности трения. Из-за незначительного изменения коэффициента трения в рабочем диапазоне температур масляной пленки (рис.3.23) можно составить дифференциальное уравнение теплового баланса с изменением скорости, аналогичное (3.31) в виде
| (3.39) |
или после аналогичного упрощения как в (2.57) получим
| (3.40) |
где
- изменение выделившейся теплоты при изменении скорости скольжения на единицу (аналогично qp),aV - коэффициент теплоотдачи, отнесенный к единице скорости (аналогично a p); остальные параметры те же, что и в зависимости (3.32).
Интегрирование дифференциального уравнения теплового баланса (3.40) при начальных условиях: t=0 при V=0 (точнее
), позволяет получить зависимость t от V аналогично (3.33), то есть
| (3.41) |
или с учетом tn0 при
и после упрощений
| (3.42) |
где 
Общий вид зависимости интенсивности изнашивания a поверхности
трения от скорости V скольжения можно теперь записать с учетом зависимостей (3.2), (3.5), (3.10) и (3.42)
| (3.43) |
Графически эта зависимость от середины области I (рис.3.23) до
(до критической температуры масла) приведена на рис.3.24. Аналогично и зависимости (3.10) зависимость (3.43) содержит много экспериментальных параметров, что свидетельствует о целесообразности аппроксимации ее более простым уравнением, которым, судя по виду зависимости (рис.3.24), может быть в области от
до
уравнение
| (3.44) |
где а, b, с - экспериментальные параметры.
| Рис.3.24. Зависимость интенсивности изнашивания от скорости относительного перемещения: 1 - функциональная; 2 - аппроксимирующая |
|
При рассмотрении влияния скоростного режима на интенсивность изнашивания следует отметить, что в подшипниках коленчатого вала двигателей и других динамических нагруженных сопряжениях агрегатов с ростом частоты вращения вала (коленчатого) возрастают инерционные нагрузки на подшипники пропорционально квадрату частоты вращения n. Поэтому можно считать согласно [1-5], что температура tn и интенсивность изнашивания a шеек коленчатого вала и вкладышей с ростом n возрастают с повышением темпа роста, то есть по квадратичной зависимости
| (3.45) |
где tn0, a0 - соответственно tn иa при n, соответствующей
K1, K2,
- экспериментальные коэффициенты.
Такая форма зависимости сохраняется при неизменной производительности масляного насоса. Однако с ростом n растет и производительность масляного насоса, то есть возрастает теплоотвод в масло. Окончательно форма зависимости температуры и интенсивности изнашивания шеек и вкладышей от n обусловлена соотношением указанных факторов.
Проверка приведенных аналитических зависимостей температуры и интенсивности изнашивания поверхности трения проведена на специальной лабораторной установке и на двигателе в стендовых условиях. Графически результаты исследований на лабораторной установке при постоянном расходе масла через подшипники приведены на рис.3.25, 3.26, а на двигателе -на рис.3.27.
Рис.3.25. Зависимость температуры рабочей поверхности вкладышей от частоты вращения вала установки при нагрузке: 1 - 40 Н; 2 - 320 Н
|
Рис.3.26. Зависимость интенсивности изнашивания от частоты вращения вала установки при нагрузке: 1 - 40 Н; 2 - 80 Н; 3 - 160 Н; 4 - 320 Н
|
| Рис.3.27. Зависимость температуры рабочей поверхности коренных вкладышей - 1 и масла в картере - 2 от частоты вращения коленчатого вала двигателя (без нагрузки) |
|
Результаты математической обработки экспериментальных данных других исследований, показанных на рис.3.28-2.48.
Рис.3.30. Зависимость температуры нижнего (1) и верхнего (2) коренного вкладыша от частоты вращения коленчатого вала [507]
|
Рис.3.31. Зависимость интенсивности изнашивания двигателя от частоты вращения коленчатого вала
|
Таким образом, повышение скорости относительного перемещения поверхностей трения способствует повышению толщины и несущей способности масляного клина и снижению интенсивности изнашивания, а при дальнейшем повышении скорости возрастает температура поверхности трения (масляной пленки) по формуле (3.42). Это ведет к повышению интенсивности изнашивания в общем виде по формуле (3.43), которую, можно аппроксимировать более простой зависимостью (3.44) в области от
до
, наиболее часто встречающейся в эксплуатации.
Рис.3.25. Зависимость температуры рабочей поверхности вкладышей от частоты вращения вала установки при нагрузке: 1 - 40 Н; 2 - 320 Н
Рис.3.26. Зависимость интенсивности изнашивания от частоты вращения вала установки при нагрузке: 1 - 40 Н; 2 - 80 Н; 3 - 160 Н; 4 - 320 Н
Рис.3.30. Зависимость температуры нижнего (1) и верхнего (2) коренного вкладыша от частоты вращения коленчатого вала [507]
Рис.3.31. Зависимость интенсивности изнашивания двигателя от частоты вращения коленчатого вала






