а) Магнитное поле прямого тока.



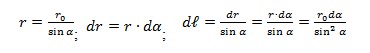
Поскольку индукция, создаваемая различными элементарными участками, на которые мы разбили проводник, в данной точке имеет одинаковое направление, мы можем геометрическое суммирование векторов d
заменить скалярным суммированием:

В случае бесконечно длинного проводника
=0,
=π






