На практике чаще всего магнитные поля создаются с помощью различного рода соленоидов, т.е. многовитковых контуров с током.
Здесь возможны два случая: при изменении тока в контуре изменяется магнитный поток, пронизывающий: а) этот же контур; б) соседний контур.
ЭДС индукции, возникающая в самом же контуре, называется ЭДС самоиндукции, а само явление – самоиндукция.
Если же ЭДС индукции возникает в соседнем контуре, то говорят о явлении взаимной индукции.
Ясно, что природа явления одна и та же, а разные названия использованы для того, чтобы подчеркнуть место возникновения ЭДС индукции.
Явление самоиндукции открыл американский ученый Дж. Генри.
Явление самоиндукции можно определить следующим образом.
Ток I, текущий в любом контуре, создает магнитный поток Ф, пронизывающий этот же контур. При изменении I будет изменяться Ф. Следовательно, в контуре будет наводиться ЭДС индукции.
Ф=L*I, где L – коэффициент пропорциональности, названный индуктивностью контура. Индуктивность контура L зависит от геометрии контура, числа витков, площади витка контура.
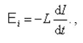
При изменении тока в контуре возникает ЭДС самоиндукции, равная:
Знак минус в этой формуле обусловлен правилом Ленца.






