анализировали три главных типа ассоциации сначала
при непроизвольном, затем при произвольном течении
мысли. Нужно заметить, что вновь возникающий при
ассоциации объект может не иметь никакого логиче-
ского отношения к вызывающему его объекту. Необхо-
димое условие для деятельности закона ассоциации
только одно: тускнеющий объект мысли должен быть
вызван нервным процессом, где некоторые элементы
связаны со вновь образующимся объектом мысли. Имен-
но в этой форме проявляется закон причинности во всех
родах ассоциации, не исключая и ассоциации по сход-
ству. Сходство между объектами само по себе не игра-
ет никакой роли при смене ассоциаций. Оно только ре-
зультат обычных факторов, обусловливающих смену
представлений, когда они сочетаются известным обра-
зом.
Психологи обыкновенно рассуждают так, как будто
сходство объектов — само по себе некоторый фактор,
действующий наряду с привычкой, независимый от нее
и способный, подобно ей, влиять на смену представле-
ний. Но такой способ объяснения совершенно непоня-
тен. Сходства двух объектов не существует, пока нет
самих объектов; нельзя говорить о сходстве как факто-
ре, производящем нечто, все равно — принадлежит ли
это нечто области физической или психической. Сход-
ство есть известное отношение, познаваемое нами после
факта, точно так же, как мы познаем отношения превос-
ходства, расстояния, причинности, формы и содержания,
субстанции и акциденции или контраста между двумя
объектами, связанными между собой механизмом ас-
социаций.
Заключение. Подводя итоги, еще раз повторяю: раз-
ница между тремя видами ассоциации чисто количе-
ственная и сводится к большему или меньшему возбуж-
дению нервных путей, соответствующих той части ис-
чезающего объекта мысли, которая является формирую-
щим началом для следующей мысли. Но modus operand!
этой активной части везде тот же, независимо от ее
величины. Элементы, образующие новый объект мысли,
готовы возникнуть перед сознанием каждую минуту, по-
тому что соответствующие им нервные пути были од-
нажды возбуждены сразу вслед за нервными элемен-
тами, соответствующими предшествующему объекту
мысли или его активной части. Этот конечный физиоло-
гический закон — закон привычки — распространяется
на движение тока, пробегающего по нервным путям.
Направление его пути и виды его модификаций зависят
отчасти от условий, которые мы могли обнаружить
с помощью нашего анализа, но которые совершенно
еще не выяснены при так называемой ассоциации по
сходству.
Я полагаю, что изучающий психологию согласится
со мной в необходимости развивать «нервную физиоло-
гию» для выяснения смены наших идей. Надо, впрочем,
сознаться, что далек тот день, когда физиолог будет в
состоянии проследить шаг за шагом, от одной группы
нервных клеток к другой, гипотетически намеченный
нами механизм душевных явлений. Возможно, этот день
не наступит никогда. Мало того, схематизм, которым
мы пользовались при анализе, заимствован нами из ана-
лиза внешних объектов и лишь по аналогии перенесен
на мозг. Тем не менее только применение этого схема-
тизма к мозговым процессам позволяет нам распростра-
нять закон причинности на психофизические явления;
для меня это соображение дает право сказать, что по-
рядок в смене психических явлений может быть выяс-
нен при помощи данных одной «нервной физиологии».
Явления случайного преобладания некоторых про-
цессов над другими также могут быть отнесены к об-
ласти мозговых вероятностей. Благодаря неустойчивости
нервной ткани разряды всегда должны происходить в
одних ее пунктах скорее и сильнее, чем в других, и
пункты, преобладающие по интенсивности разряда над
остальными, должны временами менять свои места в
зависимости от случайных причин, давая нам возмож-
ность выразить в виде точных диаграмм капризную иг-
ру ассоциаций по сходству в самых гениальных умах,
Анализ сновидений подтверждает эти соображения.
Обыкновенно у спящего число путей для нервного раз-
ряда уменьшается. Немногие из них доступны току, и
последний, как вихрь носясь только по тем путям, ко-
торые питание мозга в данную минуту сделало ему до-
ступными, вызывает в сознании спящего самые причуд-
ливые сочетания идей.
Внимание, возбужденное каким-нибудь интересом, и
воление сохраняют роль психических факторов и в яв-
лении ассоциации. Эта роль выражается в подчерки-
вании некоторых элементов ассоциации, в фиксировании
их с целью сделать их влияние преобладающим на об-
разование дальнейших ассоциаций. Это обстоятельство
12*
должны особенно не упускать из виду противники ме<
ханистической психофизиологии при анализе ассоциа-
ций. Мое мнение о произвольной деятельности духа при
активном внимании я высказал выше (см. с. 126). Но
даже если допустить существование психической само-
произвольности, то во всяком случае нельзя признать,
что она действует ex abrupto (внезапно), вызывая и
созидая идеи. Роль ее ограничивается выбором между
теми идеями, которые предоставляются ей ассоционным
механизмом. Если бы дух мог произвольно подчерки-
вать, усиливать или задерживать какой-либо элемент
ассоциации, то он мог бы делать все, что нужно для са-
мого ревностного защитника свободы воли, ибо в таком
случае дух влиял бы решающим образом на образова-
ние последующих ассоциаций, ставя их в зависимость
от подчеркнутого элемента ассоциации и таким путем
предопределяя дальнейший образ мыслей человека, а
вместе с тем и его поступки.
Глава XVII. Чувство времени
Ощущаемое настоящее имеет известную продолжитель-
ность. Постарайтесь, я не скажу уловить, но подметить
настоящее мгновение. Такая попытка совершенно бес-
плодна. Где оно, это настоящее? Оно исчезло прежде,
чем мы успели схватить его, растаяло, перелилось в
следующее мгновенье. Поэт, цитируемый Годжсоном,
говорит:
Le moment ой je parle est deja loin de moi.
(И даже тот миг, когда я еще говорю, уже далек от меня.)
И действительно, настоящее в строгом смысле слова
может быть схвачено человеком только как часть более
широкого промежутка времени, заполненного живым,
подвижным органическим процессом. Настоящее есть
простая абстракция, не только никогда не существую-
щая в опыте, но, быть может, никогда не появляющаяся
даже в виде понятия у лиц, не привыкших к философ-
скому мышлению. Размышление приводит нас к убеж-
дению, что настоящее должно существовать, но само
существование его никогда не может быть для нас фак-
том непосредственного опыта. Опыт дает нам то, что так
хорошо названо «видимым воочию настоящим»,— ка-
кой-то отрезок времени, как бы седло на его хребте, на
котором мы сидим боком и с которого представляем
себе два противоположных направления времени. Части
восприятия времени объединяются известной длитель-
ностью с двумя противоположными концами. Отноше-
ния последовательности от одного конца к другому по-
знаются как части данного отрезка длительности. Мы
не чувствуем появления сначала одного конца, потом
другого и от восприятия последовательности не заклю-
чаем к существованию промежутка времени между ни-
ми, но мы, по-видимому, чувствуем сам промежуток как
целое с двумя противоположными концами. Опыт как
объект психологического анализа есть нечто сложное:
элементы его в чувственном восприятии неотделимы друг
от друга, хотя, направляя внимание на смену явлений
опыта, мы можем легко отличить в нем начало и конец.
Промежуток времени свыше нескольких секунд пере-
стает быть непосредственным восприятием продолжи-
тельности для нашего сознания и становится воображае-
мой фикцией. Чтобы реализовать перед сознанием даже
час времени, мы должны считать in indefinitum (беско-
нечно): «теперь», «теперь», «теперь». 'Каждое «теперь»
соответствует ощущению некоторого отдельного проме-
жутка времени, точная же сумма этих промежутков ни-
когда не осознается нами ясно. Длиннейший промежуток
времени, какой мы можем непосредственно охватывать
сознанием, отличая его от больших и меньших (судя по
опытам, произведенным в лаборатории Вундта для дру-
гой цели), равняется приблизительно 12 с. Кратчайший
промежуток времени, ощущаемый нами, равняется, по-
видимому, 1/500 с: Экснер различал две электрические
искры, следовавшие одна за другой через этот проме-
жуток.
Мы не обладаем чувством пустого времени. Попро-
буйте закрыть глаза, совершенно отвлечься от внешнего
мира и направить внимание исключительно на течение
времени, подобно тому человеку, который, по выраже-
нию поэта, «бодрствовал, чтобы подметить полет вре-
мени во мраке ночи и приближение мира ко дню страш-
ного суда». При таких условиях, по-видимому, нет ни-
какого разнообразия в материальном содержании нашей
мысли и объектом непосредственного созерцания явля-
ется как будто само течение времени. Так ли это на са-
мом деле или нет? Вопрос этот важен, ибо, предполо-
жив, что опыт в данном случае является именно тем,
чем он с первого взгляда кажется, мы должны будем
признать в себе существование особого чистого чувства
времени, чувства, для которого стимулом служит ничем
не заполненная длительность. Предположив же в дан-
ном случае простую иллюзию, придется допустить, что
восприятие полета времени в приведенном выше приме-
ре обусловлено заполнением его нашим воспоминанием
о его содержании в предшествующее мгновение и чув-
ством сходства этого содержания с содержанием дан-
ной минуты.
Не требуется особых усилий самонаблюдения для
того, чтобы показать, что истинна последняя альтерна-
тива и что мы не можем сознавать ни длительности, ни
протяжения без какого бы то ни было чувственного со-
держания. Подобно тому как с закрытыми глазами мы
видим, точно так же при полном отвлечении от впе-
чатлений внешнего мира мы все-таки погружены в то,
что Вундт где-то назвал «полусветом» общего нашего
сознания. Биение сердца, дыхание, пульсация внимания,
обрывки слов и фраз, проносящиеся в нашем вообра-
жении,— вот что заполняет эту туманную область со<
знания. Все эти процессы ритмичны и сознаются нами
в непосредственной цельности; дыхание и пульсация вни-
мания представляют периодическую смену подъема и
падения; то же наблюдается в биении сердца, только
здесь волна колебания гораздо короче; слова проносят-
ся в нашем воображении не в одиночку, а связанными
в группы. Короче говоря, как бы мы ни старались ос-
вободить наше сознание от всякого содержания, неко-
торая форма сменяющегося процесса всегда будет со-
знаваться нами, представляя не устранимый из созна-
ния элемент. Наряду же с сознанием этого процесса и
его ритмами мы сознаем и занимаемый им промежуток
времени. Таким образом, осознание смены является ус-
ловием для осознания течения времени, но нет никаких
оснований предполагать, что течения абсолютно пустого
времени достаточно, чтобы породить в нас осознание
смены. Эта смена должна представлять известное ре-
альное явление.
Оценка более длинных промежутков времени. Пыта-
ясь наблюдать в сознании течение пустого времени (пу-
стого в относительном смысле слова, согласно сказан-
ному выше), мы следим мысленно за ним с перерыва-
ми. Мы говорим про себя: «теперь», «теперь», «теперь»
или: «еще», «еще», «еще» по мере течения времени. Сло-
жение известных единиц длительности представляет
закон прерывного течения времени. Прерывность эта,
впрочем, обусловлена только фактом прерывности вос-
приятия или апперцепции того, что оно есть. На самом
деле чувство времени так же непрерывно, как и всякое
другое подобное ощущение. Мы называем отдельные
куски непрерывного ощущения. Каждое наше «еще»
отмечает некоторую конечную часть истекающего или
истекшего промежутка. Согласно выражению Годжсона,
ощущение есть измерительная тесьма, а апперцепция —
делительная машина, отмечающая на тесьме промежут-
ки. Прислушиваясь к непрерывно-однообразному звуку,
мы воспринимаем его при помощи прерывной пульса-
ции апперцепции, мысленно произнося: «тот же звук»,
«тот же», «тот же»! То же самое мы делаем, наблюдая
течение времени. Начав отмечать промежутки времени,
мы очень скоро теряем впечатление от их общей суммы,
которое становится крайне неопределенным. Точно оп-
ределить сумму мы можем, только считая, или следя
за движением часовых стрелок, или пользуясь каким-
нибудь другим приемом символического обозначения
временных промежутков.
Представление о промежутках времени, превосходя-
щих часы и дни, совершенно символично. Мы думаем о
сумме известных промежутков времени, или представ-
ляя себе лишь ее название, или перебирая мысленно
наиболее крупные события этого периода, нимало не
претендуя воспроизводить мысленно все промежутки,
образующие данную минуту. Никто не может сказать,
что он воспринимает промежуток времени между ны-
нешним столетием и первым столетием до Р. X. как бо-
лее длинный период сравнительно с промежутком вре-
мени нынешним и Х веками. Правда, в воображении ис-
торика более длинный промежуток времени вызывает
большее количество хронологических дат и большее
число образов и событий и потому кажется более бога-
тым фактами. По той же причине многие лица уверяют,
что они непосредственно воспринимают двухнедельный
промежуток времени как более длинный сравнительно
с недельным. Но здесь на самом деле вовсе нет интуи-
ции времени, которая могла бы служить для сравнения.
Большее или меньшее количество дат и событий яв-
ляется в данном случае лишь символическим' обозна-
чением большей пли меньшей продолжительности зани-
маемого ими промежутка. Я убежден, что это так даже
ia том случае, когда сравниваемые промежутки времени
-не более часа или около того. То же самое бывает, ког-
да мы сравниваем пространства в несколько миль. Кри-
терием для сравнения в данном случае служит число
единиц длины, заключающееся в сравниваемых проме-
жутках пространства,
Теперь нам естественнее всего обратиться к анализу
"некоторых общеизвестных колебаний в нашей оценке
длины времени. Вообще говоря, время, заполненное раз-
нообразными и интересными впечатлениями, кажется
быстро протекающим, но, протекши, представляется при
воспоминании о нем очень продолжительным. Наоборот,
время, не заполненное никакими впечатлениями, кажет-
ся длинным, протекая, а протекши, представляется ко-
, ротким. Неделя, посвященная путешествию или посе-
щению различных зрелищ, в воспоминании едва остав-
ляет впечатление одного дня. При мысленном взгляде
на протекшее время его продолжительность кажется
большей или меньшей, очевидно, в зависимости от ко-
личества вызываемых им воспоминаний. Обилие пред-
метов, событий, перемен, многочисленные подразделе-
ния немедленно делают наш взгляд на прошлое более
широким. Бессодержательность, однообразие, отсутствие
новизны делают его, наоборот, более узким.
По мере того как мы стареем, тот же промежуток
времени нам начинает казаться более коротким — это
справедливо относительно дней, месяцев и лет; относи-
тельно часов — сомнительно; что же касается минут и
секунд, то они, по-видимому, всегда кажутся приблизи-
тельно одинаковой длины. Для старика прошлое, по
всей вероятности, не кажется длиннее, чем оно казалось
ему в детстве, хотя на самом деле оно может быть в
12 раз больше. У большинства людей все события зре-
лого возраста настолько привычного рода, что индиви-
дуальные впечатления не надолго удерживаются в па-
мяти. В то же время более ранние события все в боль-
шем и большем количестве начинают забываться вслед-
ствие того, что память не в состоянии удержать такого
количества отдельных определенных образов.
Вот всё, что я хотел сказать по поводу кажущегося
сокращения времени при взгляде на прошлое. В настоя-
щем время кажется короче, когда мы настолько погло-
щены его содержанием, что не замечаем течения самого
времени. День, занятый яркими впечатлениями, быстро
проносится перед нами. Наоборот, день, преисполнен-
цый ожиданий и неудовлетворенных желаний перемены,
покажется вечностью. Taedium, ennui, Langweile,
boredom, скука — слова, для которых в каждом языке
найдется соответствующее понятие. Мы начинаем ощу-
щать скуку тогда, когда вследствие относительной бед-
ности содержания нашего опыта внимание сосредото-
чивается на самом течении времени. Мы ожидаем но-
вых впечатлений, готовимся воспринять их — они не
появляются, вместо них мы переживаем почти ничем
не заполненный промежуток времени. При беспрерыв-
ных многочисленных повторениях наших разочарований
продолжительность самого времени начинает ощущать-
ся с чрезвычайной силой.
Закройте глаза и попросите кого-нибудь сказать вам,
когда пройдет одна минута: эта минута полного отсут-
ствия внешних впечатлений покажется вам невероятно
длинной. Она так же томительна, как первая неделя пла-
вания по океану, и вы невольно удивляетесь, что чело-
вечество могло переживать несравненно более длинные
периоды томительного однообразия. Все дело здесь за-
ключается в направлении внимания на чувство времени
per se (само по себе) и в том, что внимание в данном
случае воспринимает чрезвычайно тонкие подразделения
времени. В подобных опытах для нас нестерпима бес-
цветность впечатлений, ибо возбуждение является не-
пременным условием для удовольствия, ощущение же
пустого времени есть наименее возбуждающий нашу
впечатлительность опыт из всех, какие мы можем иметь.
По выражению Фолькмана, taedium представляет как
бы протест против всего содержания настоящего.
Ощущение прошедшего времени есть настоящее. Рас-
суждая о modus operandi нашего познания временных
отношений, можно подумать при первом взгляде, что
это простейшая вещь на свете. Явления внутреннего чув-
ства сменяются в нас одно другим: они осознаются на-
ми как таковые; следовательно, можно, по-видимому,
сказать, что мы осознаем и их последовательность. Но
такой грубый способ рассуждения не может быть наз-
ван философским, ибо между последовательностью в
смене состояний нашего сознания и осознанием их по-
следовательности лежит такая же широкая бездна, как
между всякими другими объектом и субъектом позна-
ния. Последовательность ощущений сама по себе еще
не есть ощущение последовательности. Если же к после-
довательным ощущениям здесь присоединяется ощуще-
•185
ние их последовательности, то такой факт надо рассмат-
ривать как некоторое добавочное душевное явление,
требующее особого объяснения, более удовлетворитель-
ного, чем приведенное выше поверхностное отожде-
ствление последовательности ощущений с ее осозна-
нием.
Если мы обозначим временное течение нашей мысли
в виде горизонтальной линии, то мысль об этом потоке
или о любом отрезке его пути — прошедшем, настоящем
или будущем — может быть обозначена перпендикуля-
ром, опущенным на эту линию в известной точке. Длина
перпендикуляра выражает содержание или объект мЫ-
сли, которым в данном случае служит время, соответ-
ствующее какому-нибудь моменту во временном потоке
нашей мысли.
Таким образом, в нашем сознании происходит нечто
вроде перспективной проекции явлений минувшего опы-
та, нечто аналогичное проекции обширных ландшафтов
на экране камеры-обскуры.
Немного выше мы указали, что максимум отчетливо
воспринимаемой длительности едва превышает 12 с
(максимум же неясно воспринимаемой длительности,
вероятно, не более 1 мин или около того), ввиду чего
мы должны предположить, что этот промежуток време-
ни точно отмечается при течении потока нашего созна-
ния какой-нибудь тончайшей чертой в соответствующих
физиологических процессах. Эта черта в физиологиче-
ском механизме душевной деятельности, в чем бы она
ни заключалась, является причиной того, что мы вооб-
ще познаем временные отношения. Таким образом, не-
посредственно воспринимаемая длительность едва ли
есть нечто большее, чем «видимое воочию настоящее».
Содержание настоящего постоянно меняется: явления
перемещаются в нем от «заднего» к «переднему» концу,
и каждое из них меняет свой временной коэффициент,
начиная от «еще не» или «не совсем еще» и кончая
«уже», «только что».
Тем временем «видимое воочию настоящее», непос-
редственно воспринимаемая длительность остается не-
подвижной, как радуга на водопаде, не изменяясь ка-
чественно при смене проходящих через нее явлений.
Каждое из последних, проходя через сознание, удержи-
вает за собой возможность быть воспроизведенным и
воспроизводится в связи с ближайшими окружающими
явлениями и с их общей длительностью. Впрочем, про-
щу читателя обратить внимание на тот факт, что вос-
произведение событий в памяти, после того как оно
совершенно перешло от «заднего» к «переднему» концу,
есть психическое явление, резко отличающееся от со-
зерцания того же события в «видимом воочию настоя-
щем» как объекта непосредственного прошлого. Можно
представить себе существо, совершенно лишенное вос-
производящей памяти и тем не менее обладающее чув-
ством времени; но последнее было бы у него ограниче-
но промежутком в несколько секунд. В следующей гла-
ве, принимая чувство времени за непосредственно дан-
ное, мы обратимся к анализу явлений воспроизведений
памяти, и в частности, к припоминанию явлений, свя-
занных с временными датами.
Глава XVII!. Память
Анализ явлений памяти. Память есть знание о ми-
нувшем душевном состоянии после того, как оно уже
перестало непосредственно сознаваться нами, или, гово-
ря точнее, она есть знание о событии или факте, о ко-
тором мы в данную минуту не думали и который осоз-
нается нами теперь как явление, имевшее место в на-
шем прошлом. Важнейший элемент такого знания, по-
видимому, оживание в сознании образа минувшего яв-
ления, его копии. И многие психологи утверждают, что
воспоминание о минувшем событии сводится к простому
оживанию в сознании его копии. Но чем бы ни было
такое оживание, оно во всяком случае не есть память;
это просто дубликат первого события, некоторое второе
событие, не имеющее с первым никакой связи и только
сходное с ним. Часы бьют сегодня, били вчера и могут
бить еще миллион раз, пока не испортятся. Дождь льет
через водосточную трубу, так же лил он на прошлой
неделе и так же будет лить завтра, через год... Но раз-
ве часы при каждом новом ударе сознают прежние
удары или текущий теперь поток воды сознает вчераш-
ний, потому что они походят друг на друга и повто-
ряются? Очевидно, нет. Нельзя возражать на наше за-
мечание, говоря, что примеры неподходящи, что в них
речь идет не о психических, а о физических явлениях,
ибо психические явления (например, ощущения), сле-
дуя одни за другими и повторяясь, в этом отношении
ничем не отличаются от боя часов. В простом факте
воспроизведения еще вовсе нет памяти. Последователь-
ное повторение ощущений представляет ряд не завися-
щих друг от друга событий, из которых каждое замк-
нуто в самом себе. Вчерашнее ощущение умерло и по-
гребено — наличность сегодняшнего еще не дает ника-
ких оснований для того, чтобы наряду с ним воскресло
и вчерашнее. Нужно еще одно условие для того, чтобы
созерцаемый в настоящем образ являлся заместителем
минувшего оригинала.
Условие это заключается в том, что созерцаемый на-
ми образ мы должны относить к прошлому — мыслить
его в прошлом. Но как можем мы мыслить известную
вещь как бы в прошлом, если мы не будем думать об
этой вещи, и о прошлом, и об отношении между тем и
другим? А как можем мы думать вообще о прошлом?
В главе «Чувство времени» мы видели, что интуитивное
или непосредственное осознание минувшего отстоит все-
го на несколько секунд от настоящего мгновения. Более
отдаленные даты не воспринимаются непосредственно, а
мыслятся символически, как названия, например: «про-
шлая неделя», «1850 год», или представляются в виде
образов и событий, связанных, ассоциированных с ни-
ми, например: «год, в котором мы посещали какое-ни-
будь учебное заведение», «год, в котором мы понесли
какую-нибудь утрату». <'...:> Для полноты воспоми-
нания о прошлом необходимо мыслить и то, и другое —
и символическую дату, и соответствующие минувшие
события. «Отнести» известный факт к минувшему вре-
мени,— значит, мыслить его в связи с именами и собы-
тиями, характеризующими его датами,— короче говоря,
мыслить его как член сложного комплекса элементов
ассоциации.
Но и это еще не есть душевное явление, называемое
памятью. Память представляет нечто большее сравни-
тельно с простым отнесением факта к известному мо-
менту прошлого. Другими словами, я должен думать,
что это именно я пережил его. Он должен быть окра-
шен в то чувство теплоты и интимности по отношению
к нашей личности, чувство, о котором нам не раз при-
ходилось говорить в главе «Личность» и которое состав-
ляет характерную черту всех явлений, вошедших в со-
став нашего индивидуального опыта. Общее чувство на-
правленности в глубь прошедшего, определенная дата,
лежащая в этой направленности и охарактеризованная
соответствующим названием или содержанием, вообра-
жаемое мною событие, относимое к этой дате, и призна-
ние его принадлежащим моему личному опыту — вот
составные элементы в каждом объекте памяти.
Запоминание и припоминание. Если явления памяти
таковы, какими показал нам их только что сделанный
анализ, то можем ли мы ближе наблюдать процессы
памяти и выяснить их причины?
Процесс памяти заключает в себе два элемента:
1) запоминание известного факта; 2) припоминание, или
воспроизведение, того же факта. Причиной запоминания
и припоминания служит закон приучения нервной систе-
мы, играющий здесь такую же роль, как и при ассоциа-
ции идей.
Припоминание объясняется при помощи ассоциации.
Ассоцианисты давно объясняли припоминание таким
образом.
Дж. Милль высказывает по этому поводу сообра-
жения, которые мне кажутся не требующими никаких
поправок, только слово «идея» я заменил бы выраже-
нием «объект мысли». «Есть,— говорит он,— состояние
сознания, хорошо известное всякому,— припоминание.
При этом состоянии мы, очевидно, не имеем в сознании
той идеи, которую хотим припомнить. Каким же путем
при дальнейших попытках припомнить забытое мы, на-
конец, наталкиваемся на него? Если мы не осознаем
искомой идеи, мы осознаем некоторые идеи, связанные
с ней. Мы перебираем в уме эти идеи в надежде, что
какая-нибудь из них напомнит нам забытое, и если ка-
кая-нибудь из них действительно напоминает нам забы-
тое, то всегда вследствие того, что она с ним связана
общей ассоциацией.
Я встретил на улице старого знакомого, имени ко-
торого не помню, но желаю припомнить. Я перебираю в
уме ряд имен, надеясь натолкнуться на имя, связанное
ассоциацией с искомым. Я припоминаю все обстоятель-
ства, при которых виделся с ним, время, когда я позна-
комился с ним, лиц, в присутствии которых я встречался
с ним; что он делал, что ему приходилось испытать. И
если мне случилось натолкнуться на идею, связанную
общей ассоциацией с его именем, я тотчас припоминаю
забытое имя; в противном случае все попытки мои будут
напрасны. Есть другая группа явлений, вполне аналогич-
ных только что описанным и могущих служить для них
яркой иллюстрацией. Часто мы стараемся не забыть
чего-нибудь. К какому приему мы прибегаем, чтобы
припомнить данный факт по желанию? Все люди поль-
зуются для этой цели тем же способом. Обыкновенно
стараются образовать ассоциации между объектом, ко-
торый хотят запомнить, и ощущением или идеей, кото-
рая, как известно, будет налицо в то время или около
того времени, когда пожелают вызвать в памяти дан-
ный объект мысли. Если ассоциация образовалась и
один из ее элементов попадается нам на глаза, то это
ощущение или идея вызывает по ассоциации искомый
объект мысли.
Вот избитый пример подобной ассоциации. Человек
получает от друга поручение и, чтобы не забыть его, за-
вязывает узелок на носовом платке. Как объяснить этот
факт? Прежде всего, идея поручения ассоциировалась
с идеей завязывания узелка на платке. Затем заранее
известно, что носовой платок — такая вещь, которую
очень часто приходится иметь перед глазами, и, следо-
вательно, платок, вероятно, случится видеть около того
времени, когда нужно будет выполнить поручение. Уви-
дев платок, мы замечаем узел, а он напоминает нам и
о поручении благодаря преднамеренно образованной
между ними ассоциации».
Короче говоря, мы ищем в памяти забытую идею
совершенно так же, как ищем в доме затерявшуюся
вещь. В обоих случаях мы осматриваем сначала то, что,
по-видимому, находится в соседстве с искомым пред-
метом: переворачиваем в доме вещи, подле которых,
под которыми и внутри которых он может находиться,
и если он действительно находится вблизи них, то вско-
ре попадается нам на глаза. В поисках объекта мысли
вместо предметов мы имеем дело с элементами ассоциа-
ции. Механизм припоминания тождествен механизму
ассоциации, а последний, как известно, сводится к эле-
ментарному закону приучения в нервных центрах.
Ассоциация объясняет также и запоминание. Тот же
закон приучения составляет и механизм запоминания.
Оно означает способность к припоминанию — и больше
ничего. Единственным указанием на существование в
данном случае запоминания есть наличность припоми-
нания. Запоминание известного явления, короче говоря,
есть другое название для возможности снова думать о
нем или для стремления снова думать о нем в связи с
обстановкой, относящейся ко времени первого его воз-
никновения. Какой бы случайный повод ни превратил
эту возможность в действительность, во всяком случае
постоянным основанием для этой возможности служат
пути в нервной ткани, через которые внешнее раздра-
жение вызывает припоминаемое явление, минувшие ас-
социации, сознание того, что наше «я» было связано
с данным явлением, вера в то, что все это действительно
было в прошедшем, и т. д. Когда припоминание вполне
подготовлено, искомый образ оживает в сознании тот-
час после появления повода к этому. В противном слу-
чае образ появляется лишь через некоторое время. Но
как в том, так и в другом случае главным условием,
делающим запоминание вообще возможным, являются
нервные пути, в которых образуется ассоциация запо-
минаемого объекта мысли с поводами, вызывающими
его в памяти. В состоянии скрытого напряжения эти
пути обусловливают запоминание, в состоянии активно-
сти — припоминание.
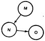
Физиологическая схема. Явление памяти может быть
окончательно выяснено при помощи простой схемы.
Пусть п будет минувшее событие, о — окружающая его
обстановка (соседние события, дата, связь с нашей
личностью, теплота и интимность и т. д.), а те—некото-
рая мысль или факт в настоящем, который легко может
стать поводом к припоминанию. Пусть нервные центры,
действующие при мыслях m, n и о, будут выражены
через М, N и О, тогда существование путей, символи-
чески обозначенных линиями между М и N, и N и О,
будет выражать факт «задержания события п в памя-
ти», а возбуждение мозга по направлению этих путей —
условие припоминания события п. Нужно заметить, что
задержание события п не есть мистическое приобрете-
ние идеи бессознательным путем. Оно вовсе не есть яв-
ление психического порядка. Это — чисто физическое
явление, морфологическая черта, именно наличность пу-
тей в глубочайших недрах мозговой ткани. В то же
время припоминание есть психофизический процесс,
имеющий и телесную, и душевную стороны; телесная
сторона его — возбуждение нервных путей, душевная —
сознательное представление минувшего явления и вера
в его принадлежность нашему прошлому.
Короче говоря, единственная гипотеза, для которой
явления внутреннего опыта дают здесь поддержку, за-
ключается в том, что нервные пути, возбуждаемые во-
сприятием известного факта и его припоминанием, не
вполне тождественны. Если бы мы могли вызвать в со-
знании минувшее событие независимо от каких бы то
ни было элементов ассоциации, то этим самым была бы
исключена всякая возможность памяти: видя перед
собой явление минувшего опыта, мы принимали бы его
за новый образ. В самом деле, припомнив событие без
окружавшей его обстановки, мы едва можем отличить
его от простого продукта воображения. Но чем более
элементов ассоциации связано с ним в нашем созна-
нии, тем легче мы узнаем в нем объект собственного
минувшего опыта.
Например, я вхожу в комнату приятеля и вижу на
стене картину. Сначала я испытываю какое-то стран-
ное чувство. «Наверное, я видел эту картину!» — говорю
я, но где и когда,— не могу припомнить; в то же время
я чувствую в картине что-то знакомое; наконец, воскли-
цаю: «Вспомнил! Это копия с картины Фра-Анджелико
во Флорентийской академии, я ее там видел». Только
для того чтобы вспомнить, что это за картина, нужно
было припомнить здание академии.
Условия хорошей памяти. Если мы припоминаем
факт — п, то путь N—О (рис. 14) составляет физиоло-
гические условия, которые вызывают
в сознании обстановку, окружавшую
п, и делают п объектом памяти, а не
простой фантазии. В то же время
путь М—N дает повод к припомина-
нию п. Таким образом, в связи с тем,
что память человека всецело обуслов-
лена свойствами нервных путей, ее
достоинство в данном индивиде зависит частью от чис-
ла, а частью от устойчивости этих путей.
Устойчивость или постоянство нервных путей есть ин-
дивидуальное физиологическое свойство нервной ткани
у каждого человека, число же их зависит всецело от
личного опыта. Назовем устойчивость нервных путей
прирожденной физиологической восприимчивостью. Эта
восприимчивость в различных возрастах и у различных
индивидов очень различна. Одни умы подобны воску
под давлением печати: ни одно впечатление, как бы
оно ни было бессвязно, не пропадает для них бесследно.
Другие напоминают желе, дрожащее от простого при-
косновения, но при обычных условиях не способное
воспринимать устойчивые отпечатки. Последние умы,
припоминая какой-нибудь факт, неизбежно должны по-
долгу копаться в запасе своих устойчивых знаний. У

них нет отрывочной памяти. Наоборот, лица, которые
удерживают в памяти без всякого усилия имена, даты,
адреса, анекдоты, сплетни, стихи, цитаты и всевозмож-
ные факты, обладают отрывочной памятью в высшей
степени и, конечно, обязаны этим необыкновенной вос-
приимчивости их мозгового вещества для каждого вновь
образовавшегося в нем пути.
По всей вероятности, лица, не одаренные такой фи-
зиологической восприимчивостью, не способны к широ-
кой, многосторонней деятельности. И в практической
жизни, и в научной сфере человек, умственные приобре-
тения которого тотчас же закрепляются в нем, всегда
прогрессирует и достигает целей, в то время как дру-
гие, тратя большую часть времени на переучивание то-
го, что они когда-то учили, но забыли, почти не двига-
ются вперед. Карл Великий, Лютер, Лейбниц, В. Скотт,
любой из великих гениев человечества непременно дол-
жны были обладать изумительной восприимчивостью
чисто физиологического свойства. Люди, не одаренные
ею, могут в той или другой степени отличаться каче-
ством труда, но никогда не будут в состоянии создать
такие массы произведений или иметь такое громадное
влияние на современников.
В жизни каждого из нас наступает период, когда мы
можем только сохранять приобретенное ранее, когда
прежде проложенные в мозгу пути исчезают с такой
же скоростью, с какой образуются новые, и когда мы
забываем ровно столько, сколько приобретаем новых
знаний за тот же промежуток времени. Это состояние
равновесия может тянуться много-много лет. В глубо-
кой старости оно начинает нарушаться: количество за-
бываемого начинает перевешивать количество приоб-
ретаемого вновь, или, лучше сказать, нет никаких новых
приобретений. Мозговые пути становятся настолько не-
устойчивыми, что, например, в течение нескольких ми-
нут предлагается тот же вопрос и ответ на него забы-
вается раз шесть подряд. В этом периоде необычайная
устойчивость путей, образовавшихся в детстве, стано-
вится очевидной; глубокий старик сохраняет воспоми-
нания ранней молодости, утратив все остальные.
Вот всё, что я хотел сказать об устойчивости мозго-
вых путей. Теперь несколько слов об их числе. Очевид-
но, чем более таких путей в мозгу, как М — N, и чем
более благоприятных поводов для припоминания га, тем
скорее образуется, вообще говоря, и прочнее будет па-
13 —833 193
мять об п, и чем чаще мы будем вспоминать об п, тем
более будет возможности всегда припомнить п по же-
ланию.
f Говоря на языке психологии, с чем большим коли-
чеством фактов мы ассоциировали данный факт, тем
более прочно он задержан нашей памятью. Каждый
из элементов ассоциации есть крючок, на котором факт
висит и с помощью которого его можно выудить, когда
он, так сказать, опустился на дно. Все элементы ассо-
циации образуют ткань, с помощью которой данный
факт закреплен в мозгу. Тайна хорошей памяти есть,
таким образом, искусство образовывать многочисленные
и разнородные ассоциации со всяким фактом, который
мы желаем удержать в памяти. Но что другое представ-
ляет это образование ассоциаций с данным фактом, ес-
ли не упорное размышление о нем?
Короче говоря, из двух лиц с тем же внешним опы-
том и с той же степенью прирожденной восприимчиво-
сти то лицо, которое более размышляет над своими
впечатлениями и ставит их в систематическую связь
между собой, будет обладателем лучшей памяти. При-
меры можно видеть на каждом шагу. Большинство лю-
дей обладают хорошей памятью на факты, имеющие от-
ношение к их житейским целям. Школьник, проявляю-
щий способности атлета, оставаясь крайне тупым в
учебных занятиях, поразит вас знанием фактов о дея-
тельности атлетов и окажется ходячей справочной кни-
гой по статистике спорта. Причиной этому является то,
что мальчик постоянно думает о любимом предмете,
собирает относящиеся к нему факты и группирует их в
известные классы. Они образуют для него не беспоря-
дочную смесь, а систему понятий 1— до такой степени
глубоко он их усвоил.
Так же точно купец помнит цены товаров, полити-
ческий деятель — речи своих коллег и результаты голо-
сования в таком множестве, что посторонний наблюда<
тель поражается богатством его памяти, но это богат-
ство вполне понятно, если мы примем во внимание, как
много каждый специалист размышляет над своим пред-
метом. Весьма возможно, что поразительная память, об-
наруживаемая Дарвином и Спенсером в их сочинениях,
вполне совместима со средней степенью физиологиче-
ской восприимчивости мозга обоих ученых. Если чело-
век с ранней юности задается мыслью фактически обо-
сновать теорию эволюции, то соответствующий материал
будет быстро накапливаться и прочно задерживаться в
его памяти. Факты свяжутся между собой их отноше-
нием к теории, а чем более ум будет в состоянии раз-
личать их, тем обширнее станет эрудиция ученого. Ме-
жду тем теоретики могут обладать весьма слабой отры-
вочной памятью и даже вовсе не обладать ею. Фактов,
бесполезных для его целей, теоретик может не замечать
и забывать тотчас же после их восприятия. Энциклопе-
дическая эрудиция может совмещаться почти с таким
же «энциклопедическим» невежеством, и последнее мо-
жет, так сказать, скрываться в промежутках ее ткани.
Те, кому приходилось иметь много дела со школьника-
ми и профессиональными учеными, поймут, какой тип
я имею в виду.
В системе каждый факт мысли связан с другим фак-
том каким-нибудь отношением. Благодаря этому каж-
дый факт задерживается совокупной силой всех других
фактов системы и забвение почти невозможно.
Почему зубрежка такой дурной способ учения? По-
сле сказанного выше это само собой ясно. Под зубре-
нием я разумею тот способ подготовки к экзаменам,
когда факты закрепляются в памяти в продолжение не-
многих часов или дней путем усиленного напряжения
мозга, запоминаются на время испытания, между тем
как в течение учебного года память почти вовсе не уп-
ражнялась в области предметов, необходимых к экза-
мену. Объекты, заучиваемые таким путем, на отдельный
случай, временно, не могут образовать в уме прочных
ассоциаций с другими объектами мысли. Соответствую-
щие им мозговые точки проходят по немногим путям
и с большим трудом возобновляются. Знание, приобре-
тенное с помощью простого зубрения, почти неизбежно
забывается совершенно бесследно. Наоборот, материал,
набираемый памятью постепенно, день за днем, в связи
с различными контекстами, освещенный с разных то-
чек зрения, связанный ассоциациями с другими собы-
тиями и неоднократно подвергавшийся обсуждению, об-
разует такую систему, вступает в такую связь с осталь-
ными сторонами нашего интеллекта, легко возобновляет -
ется в памяти такой массой внешних поводов, что оста-
ется надолго прочным приобретением. Вот в чем рацио-
нальное основание для того, чтобы установить в учеб-
ных заведениях надзор за непрерывностью, равномер-
ностью занятий в течение учебного года. Разумеется, в
зубрении нет ничего нравственно предосудительного.
13*
Если бы оно вело к желанной цели — к приобретению
прочных знаний, то, бесспорно, было бы лучшим педа.
гогическим приемом. Но на самом деле этого нет, и уча-
щиеся сами должны понять почему.
Прирожденная восприимчивость памяти человека
неизменна. Теперь читателю будет вполне ясно, если
мы скажем, что все усовершенствование памяти заклю-
чается в образовании ряда ассоциаций с теми многочи-
сленными объектами мысли, которые нужно удержать
в голове. Никакое развитие не может, по-видимому, усо-
вершенствовать общую восприимчивость человека. Она
представляет собой физиологическое свойство, данное
человеку раз и навсегда вместе с его организацией,
свойство, которое он никогда не будет в состоянии из-
менить. Без сомнения, оно изменяется в зависимости от
состояния здоровья человека; наблюдения показывают,
что оно лучше, когда человек свеж и бодр, и хуже, ког-
да он утомлен или болен. Таким образом, что хорошо
для здоровья, то хорошо и для памяти. Мы можем даже
сказать, что любое интеллектуальное упражнение, уси-
ливающее питание мозга и повышающее общий тонус
его деятельности, окажется полезным и для общей вос-
приимчивости. Но более этого ничего нельзя сказать, а
это, очевидно, гораздо менее утешительно сравнительно
с ходячими взглядами на восприимчивость мозга.
Обыкновенно полагают, что систематические упраж-
нения укрепляют в человеке не только способность за-
поминать факты, входящие в состав этих упражнений,
но и вообще восприимчивость к запоминанию. Говорят,
например, что продолжительное заучивание слов облег-
чает дальнейшее их заучивание. Если бы это было спра-
ведливо, то все только что сказанное мной было невер-
но и всю теорию зависимости памяти от образования
нервных путей в мозгу нужно было бы вновь пересмат-
ривать. Но я склонен думать, что фактов, противо-
поставляемых этой теории, на самом деле не суще*
ствует.
Я обстоятельно расспрашивал многих опытных акте-
ров, и все они единогласно утверждают, что заучивание
ролей весьма мало облегчает дело. По их словам, это
только развивает способность разучивать роли систе-
матически. Опыт сообщил актерам богатый запас инто-
наций, экспрессии и жестов; это облегчает разучивание
новых ролей, в которых возможно применить запас, на-
копленный так же, как накоплены купцом его знания о
ценности товаров, атлетом — познания по части гим-
настической ловкости; новые роли благодаря практике
заучиваются легче, но при этом прирожденная воспри-
имчивость нисколько не совершенствуется, а, наоборот,
слабеет с годами.
Здесь запоминание облегчается вдумчивостью. Точ-
но так же, когда школьники совершенствуются в заучи-
вании наизусть, я уверен, что на поверку причиной со-
вершенствования всегда окажется способ заучивания
отдельных вещей, представляющих относительно боль-
ший интерес, большую аналогию с чем-нибудь уже зна-
комым, воспринятым с большим вниманием и т. д., но
отнюдь не укрепление физиологической силы восприим-
чивости. Заблуждение, которое я имею в виду, прони-
кает наскозь полезную и интересную в других отноше-
ниях книгу «Как нужно укреплять память» Гольбрука
из Нью-Йорка. Автор не различает общей физиологи-
ческой восприимчивости и восприимчивости к опреде-
ленным явлениям и рассуждает так, как будто и та и
другая должны совершенствоваться при помощи одних
и тех же средств.
«Я лечу теперь,— говорит он,— старика, страдающе-
го потерей памяти, который не замечал, что память
его быстро слабеет, пока я не обратил на это внима-
ния. В настоящее время он употребляет энергичные
усилия для восстановления памяти, и не без некоторого
успеха. Метод лечения заключается в том, чтобы еже-
дневно по два часа — час утром и час вечером — упраж-
нять память. Пациент в это время сильно напрягает
внимание, чтобы воспринимаемое ярко запечатлевалось
в уме. Каждый вечер он должен припоминать все собы-
тия минувшего дня и повторять то же на следующее
утро. Каждое услышанное имя ему следует записывать
и стараться запомнить, возобновляя его в уме время от
времени. Еженедельно он должен запоминать до десяти
имен государственных деятелей. Ежедневно ему надо
заучивать стихи из поэтических произведений и из Биб-
лии. Он должен также запоминать время от времени
номер страницы в какой-нибудь книге, где сообщается
интересный факт. С помощью этих упражнений и неко-
торых других приемов ослабевшая память пациента на-
чинает снова оживать».
Я склонен думать, что память этого несчастного ста-
рика если и улучшилась, то лишь в отношении частных
фактов, которые доктор заставляет его запоминать, и в
некоторых других отношениях: во всяком случае эти не-
сносные упражнения не повысили его общей восприим-
чивости.
Усовершенствование памяти. Итак, все улучшение
памяти заключается в усовершенствовании привычных
методов запоминания фактов. Таких методов три: меха-
нический, рациональный и технический. Механический
метод заключается в усилении интенсивности, увеличе-
нии и учащении впечатлений, подлежащих запомина-
нию. Современный способ обучения детей грамоте при
помощи письма на классной доске, при котором каждое
слово запечатлевается в сознании при посредстве четы-
рех путей — глаз, ушей, голоса и рук, представляет со-
бой образец усовершенствованного механического запо-
минания. Рациональный метод запоминания есть не
что иное, как логический анализ воспринимаемых явле-
ний, группировка их в определенную систему по клас-
сам, расчленение их на части и т. д. Любая наука мо-
жет быть примером такого метода.
Немало придумано технических, искусственных мето-
дов для запоминания. При помощи искусственных си-
стем можно нередко удерживать в памяти такую массу
совершенно бессвязных фактов, такие длинные ряды
имен, чисел и т. д., какие невозможно запомнить есте-
ственным путем. Метод заключается в механическом
заучивании какой-нибудь группы символов, которые
должны быть твердо навсегда удержаны в памяти. За-
тем то, что должно быть заучено, связывается путем
нарочно придуманных ассоциаций с некоторыми из
заученных символов, и эта связь впоследствии облегча-
ет припоминание. Наиболее известный и употребитель-
ный из искусственных приемов мнемоники — цифровой
алфавит. Предназначается он для запоминания рядов
чисел. Каждой из десяти цифр в нем соответствует од-
на или несколько букв. Число, которое надо запомнить,
выражают в буквах, из которых легко составить слова,
слова по возможности подбирают так, чтобы они на-
поминали чем-нибудь о предмете, к которому относится
число. Таким образом, слово сохранится в памяти даже
тогда, когда число будет совершенно забыто '. Недавно
' Вот цифровой алфавитэ
1, 2, 3, 4, 5, 6, 7, 8, 9, 0.
изобретенный метод Луазетта не столь механичен, он
основан на образовании ряда ассоциаций с объектом,
который желательно запомнить.
Узнавание. Если с известным явлением мы встреча-
емся часто и в связи со слишком многочисленными и
разнообразными окружающими элементами, то, несмот-
ря на соответственно легкое воспроизведение его, мы
не можем поставить такое явление в связь с определен-
ной обстановкой и, следовательно, отнести к какой-то
дате в прошлом. Мы узнаем, но не вспоминаем его: ас-
социации, связанные с ним, слишком многочисленны и
.неопределенны. Такой же результат получается, когда
локализация в прошлом слишком смутна. Мы чувству-
ем, что видели где-то данный объект, но где и когда —
совершенно не помним, хотя нам кажется, что вот-вот
сейчас мы вспомним это. Что нарождающиеся, слабые
возбуждения мозга могут вызывать нечто в сознании,
можно наблюдать на себе, когда стараешься припом-
нить имя. Оно в таком случае, что называется, вертится
на языке, но не приходит на ум. Аналогичное чувство
сопровождает «воспризнание», когда ассоциации, свя-
занные с данным объектом мысли, делают его для нас
знакомым, но неизвестно почему.
Есть курьезное душевное состояние, которое, веро-
ятно, всякому приходилось испытывать на себе. Это то
чувство, когда кажется, что^ переживаемое в данную ми-
нуту во всей полноте переживалось когда-то прежде,
когда-то мы говорили буквально то же самое на том же
самом месте, тем же лицам и т. д. Это чувство «пред-
существования» душевных состояний долгое время ка-
залось чрезвычайно загадочным и служило поводом к
многочисленным истолкованиям. Виган усматривал при-
чину его в диссоциации деятельности мозговых полу-
шарий. Согласно предположению Вигана, одно из них

начинало немного позже осознавать внешние впечатле-
ния, отставало, так сказать, от другого. По-моему, та.^
кое объяснение нисколько не устраняет загадочности
явления. Неоднократно наблюдая его на себе, я пришел
к заключению, что оно представляет собой неясное при-
поминание, в котором одни элементы возобновились пе-
ред сознанием, а другие нет. Элементы прошлого состоя-
ния, не сходные с настоящим, не оживают сначала на-
столько, чтобы мы могли отнести это состояние к опре-
деленному прошлому. Мы только осознаем настоящее,
связанное с каким-то общим намеком на прошлое. Точ-
ный наблюдатель психологических явлений Лацарус ис-
толковывает это явление так же, как и я. Достойно вни-
мания, что настоящее кажется повторением прошлого
лишь до тех пор, пока ассоциации, связанные с анало-
гичным прошлым, не станут вполне отчетливы.
Забвение. Для нашего интеллекта забвение состав-
ляет такую же важную функцию, как и запоминание.
Полное воспроизведение, как мы видели, сравнительно
редкий случай ассоциации. Если бы мы помнили реши-
тельно все, то были бы в таком же безвыходном поло-
жении, как если бы не помнили ничего. Припоминание
факта требовало бы столько же времени, сколько про-
текло его на самом деле от появления этого факта до
момента припоминания. Таким образом, мы никогда бы
не двигались вперед в нашем мышлении. Время при
припоминании подвергается тому, что Рибо называет
укорочением. Оно обусловлено пропусками огромного
количества фактов, заполнявших данный временной
промежуток. «Таким образом,— говорит Рибо,— мы
приходим к парадоксальному выводу: забвение есть
одно из условий запоминания. Без полного забвения
громадного количества состояний сознания и без вре-
менного забвения весьма значительного количества впе-
чатлений мы совершенно не могли бы запоминать. Заб-
вение, за исключением некоторых его форм, не есть
болезнь памяти, но условие ее здоровья и живости».
Патологические условия. Лица, подвергнутые гипно-
зу, забывают все, что с ними происходило во время
транса. Но при следующих таких состояниях они неред-
ко помнят, что с ними было в предшествующий раз.
Здесь наблюдается нечто подобное раздвоению лично-
сти, при котором связность существует лишь между от-
дельными состояниями каждой из личностей, но не
между самими личностями. В этих случаях чувствитель-
ОЛЛ
ность нередко бывает у той и другой личности различ-
на: во «вторичном» состоянии пациент нередко находит-
ся как будто под анестезией. Жанэ доказал, что его па-
циенты припоминали в состоянии нормальной чувсгви-
тельности те факты, которых не помнили в состоянии
анестезии. Например, он временно восстанавливал их
чувство осязания при помощи электрического тока, пас-
сов и т. д. и заставлял больных брать в руки различные
предметы: ключи, карандаши—или делать некоторые
движения, например креститься. При возвращении ане-
стезии они совершенно не помнили об этом. «Мы ниче-
го не брали в руки, ничего не делали» — вот обычный
ответ пациентов. Но на другой день, когда их нормаль-
ная чувствительность была восстановлена, они отлично
помнили, что делали в состоянии анестезии и какие ве-
щи брали в руки. Все эти патологические явления по-
казывают, что область возможного припоминания го-
раздо шире, чем мы думаем, и что в некоторых случаях
кажущееся забвение еще не дает права говорить, что
припоминание абсолютно невозможно. Впрочем, это еще
не основание для парадоксального вывода о том, будто
абсолютного забвения впечатлений нет.
Глава XIX. Воображение
Что такое воображение? Однажды испытанные ощуще-
ния так изменяют нашу нервную организацию, что вос-
произведение этих ощущений, их копии возникают в со-
знании, когда первоначально вызывавшее их внешнее
раздражение уже отсутствует. Впрочем, никакое ощу-
щение не может быть воспроизведено в сознании, если
оно первоначально не было вызвано прямо раздраже-
нием извне,
Слепому могут сниться цвета, глухому — звуки мно-
го лет спустя после потери зрения или слуха, но глу-
хорожденный никогда не будет в состоянии представить
себе звук или слепорожденный — цвет. Повторяя при-
веденные выше слова Локка, мы можем сказать, что
«ум не может образовать внутри себя ни одной простой
идеи». Оригиналы для простых идей должны быть по-
черпнуты извне. Фантазия, или воображение, суть на-
звания, данные способности воспроизводить копии од-
нажды пережитых впечатлений. Воображение называ-
ется репродуктивным, когда эти копии буквальны, и
продуктивным (или конструктивным), когда элементы
различных первоначальных впечатлений сочетаются вме-
сте и образуют новое целое. Репродуктивные образы
со всей их конкретной обстановкой, которая позволяет
определить время соответствующего им в прошедшем
восприятия или объекта мысли, оживая перед созна-
нием, являются воспоминанием. Мы только что позна-
комились с механизмом воспоминаний. Когда образы
не относятся ни к какому определенному времени и не
представляют вполне точной копии какого-либо преж-
него восприятия, мы имеем дело с продуктами вообра-
жения в собственном смысле слова.
Живость зрительного воображения у различных лю-
дей различна. Наши образы минувшего опыта могут
отличаться полнотой и отчетливостью или быть неясны,
неточны и неполны. Весьма вероятно, что многие фило-
софские разногласия, например разногласие Локка и
Беркли по поводу абстрактных идей, находили поддерж-
ку в индивидуальных различиях способности вообра-
жения, благодаря которым у одних лиц продукты вооб-
ражения бывают полнее и точнее, у других — бледнее и
туманнее. Локк утверждал, что мы обладаем общей
идеей треугольника, которая не должна быть ни прямо-
угольным, ни равносторонним, ни равнобедренным, ни
неравносторонним треугольником, но каждым из них
вместе и ни одним в частности. Беркли говорил по это-
му поводу следующее: «Если есть на свете человек, ко-
торый может образовать в своем уме такую идею тре-
угольника, то спорить с ним совершенно бесполезно, и я
не намерен этого делать. Я хочу только, чтобы читатель
уяснил себе хорошенько, может ли он представить себе
подобную идею или нет».
До самого последнего времени большинство филосо-
фов предполагали, что существует прототип человече-
ского ума, на который походят все индивидуальные умы,
и что относительно способности воображения можно
высказывать положения, применимые равно ко всем лю-
дям. Но в настоящее время масса новых психологиче-
ских данных обнаружила полную несостоятельность
этого взгляда. Нет «воображения» — есть «воображе-
ния», и их особенности необходимо изучить под-
робно.
В 1880 г. Гальтон собрал статистические материалы
по этому вопросу, что, можно сказать, составило эпоху
в описательной психологии. Он обратился к огромному
количеству лиц с просьбой описать воспроизведенное
представление обстановки, окружавшей их во время
завтрака в какое-нибудь утро. Вариации были весьма
значительными, и, как это ни странно, оказалось, что в
среднем выдающиеся ученые обладают меньшей силой
зрительного воспроизведения по сравнению с молодыми,
ничем особенно не выдающимися субъектами. (Подроб-
ности см.: Гальтон. «Исследование человеческих способ-
ностей».)
Я сам в продолжение многих лет собирал от каж-
дого из моих студентов описание силы их зрительного
воспроизведения и нашел (наряду с некоторыми курь-
езными аномалиями) соответствующие случаи для всех,
приводимых Гальтоном. Для примера я дам два случая,
представляющих крайние типы наибольшей и наимень-
шей силы зрительного воспроизведения. Авторы этих
сообщений—двоюродные братья, внуки выдающегося
ученого. Вот что пишет первый из них, обладающий
наибольшей силой зрительного воспроизведения: «Кар-
тина моего завтрака бывает и смутной, и ясной в моем
воображении. Она смутна и тускла, когда я пытаюсь
воспроизвести ее с открытыми глазами, направленными
на какой-нибудь предмет. Она в высшей степени отчет-
лива и ярка, когда я представляю ее себе с закрытыми
глазами. Все подробности этой картины для меня од-
новременно ясны, но, когда я направляю внимание на
какую-нибудь из них, она представляется мне еще от-
четливее. Всего легче я воспроизвожу в памяти цвета;
если бы, например, мне нужно было припомнить блюдо,
украшенное цветами, я был бы в состоянии точно вос-
произвести их красками и т. д. Цвет всего бывшего на
утреннем столе представляется чрезвычайно живо. Об-
ширность моих зрительных воспроизведений весьма ве-
лика. Я представляю себе все четыре стены моей ком-
наты и все четыре стены каждой из четырех остальных
комнат с такой отчетливостью, что, если бы вы меня
спросили, где лежит такая-то вещь, или попросили меня
сосчитать стулья и т. п., я тотчас же сделал бы это без
малейшего колебания.
Чем более я учу наизусть, тем яснее представляю
себе образы прочитанных мною страниц. Перед тем как
произносить наизусть одну строчку заученного, я вижу
ее и следующие за ней строки, так что могу цитировать
их медленно слово за словом, но ум мой так занят со-
зерцанием образа печатных строк, что я совершенно не
знаю смысла произносимых мною слов. Когда я впер.
вые заметил в себе такую особенность, то сначала по-
думал, что это обусловлено несовершенным знанием
выученного наизусть. Но в конце концов я убедился, что
действительно вижу страницу. Сильнейшим доводом в
пользу того, что это так, я думаю, может служить сле-
дующий факт: я могу мысленно осматривать страницу
и видеть начальные слова каждой строчки и от любого
из них могу читать строчку далее. Мне гораздо легче
делать это, если начальные слова идут одно под другим
по прямой линии, чем если они отступают в сторону.
Например:

(Лафонтен)
И вот что пишет студент с наименьшей силой зри-
тельного воспроизведения: «Моя сила зрительного вос-
произведения, насколько я могу судить, очень слаба по
сравнению с окружающими людьми и имеет некоторые
особенности. Я представляю себе любое минувшее собы-
тие не в виде отчетливых образов, но в виде панорамы,
в которой детали как бы просвечивают сквозь густой
туман. Закрыв глаза, я не могу представить себе ка-
кую-нибудь из деталей, хотя несколько лет тому назад
я еще был в состоянии делать это, после чего указан-
ная способность, по-видимому, мало-помалу совершенно
исчезла. При самых жявых моих сновидениях, когда
грезы представляются мне вполне реальными фактами,
я нередко бываю поражен помутнением зрения, и обра-
зы фантазии становятся для меня неясными. Попытки
представить себе обстановку завтрака не привели меня
ни к каким определенным результатам. Все казалось
мне туманным. Я даже не могу сказать, что я видел.
Я не мог бы назвать число стульев в комнате, если бы
не знал случайно, что их десять. Я ничего не вижу в
деталях. Всего характернее то, что я даже не могу
сказать в точности, что я вижу. Насколько я припоми-
наю, окраска предметов в воспроизведении бывает та
у^е что и в восприятии, только сильно полинявшая.
быть может, всего отчетливее я вижу цвет скатерти на
столе, и, может быть, был бы в состоянии видеть цвет
обоев, если бы помнил его».
Люди, обладающие значительной силой зрительного
воспроизведения, с трудом понимают, как могут думать
лица, лишенные этой силы. Без сомнения, некоторые не
обладают способностью зрительного






