Сукцинатдегидрогеназа (СДГ) окисляет янтарную кислоту в фумаровую. Коферментом СДГ является флавинадениндинуклеотид. В условиях опыта в качестве акцептора водорода при окислении сукцината используется натриевая соль 2,6-дихлорфенолиндофенола.
В щелочной среде окисленная форма 2,6-дихлорфенолиндофенолята натрия окрашена в синий цвет, восстановленная форма - бесцветна. Активность СДГ мышц определяется при добавлении к мышечной кашице растворов сукцината и натриевой соли окисленной формы 2,6-дихлорфенолиндифенола. Если СДГ активна, то интенсивность синей окраски ослабляется благодаря восстановлению красителя.
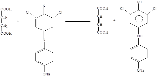
Химизм реакции:

сукцинат окисленная форма ДХФИФ фумарат восстановленная форма
(ДХФИФ)
Ход работы. В 2 пробирки отмерить по 3мл фосфатного буфера с рН 7,4. В одну пробирку добавить 5 капель 5% раствора янтарной кислоты и для нейтрализации 5 капель 0.1нраствора едкого калия, в другую прилить 10 капель дистиллированной воды. В обе добавить по 1мл 0,001н раствора 2,6-дихлорфенолиндофенола и по 50 мг хорошо измельченной ткани поперечнополосатой мышечной ткани только что убитого животного. Обе пробирки поместить в термостат на 20 минут при 37°С. Затем сравнить интенсивность окраски в контрольной и опытной пробирках. Сделать выводы.






