Определить потери напора на пути движения продуктов горения от рабочего пространства печи до дымовой трубы.
Дано: количество продуктов горения V=28800м3/ч=8м3/с,
плотность дымовых газов pго =1,28 кг/м3,
температура дыма в конце печи T=1223К,
размеры рабочего пространства в конце печи F=1,0х1,0 м2.
дымовой тракт из кирпича l=0,05
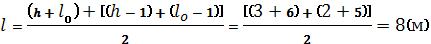
| l0=6,0 |
| 1,0 |
| h=3,0 |
| 1,0 |
| 1,0 |
Решение:
Потери напора состоят из потерь на трение, поворот на 900 и на преодоление геометрического напора.
hпотерь = hтр + hпом + hм.с
hтр=λ* 
hм.с= 
hгеом=g*h*(pво-pго)
Для определения hтр ,hм.с, hгеом. Необходимо найти wго, l, dг.
ω го находим из условия V=F*ωo
Длину дымохода определяем по центру дымохода

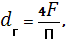
Гидравлический диаметр определяем по формуле:
где F – площадь сечения дымохода, м2
П – периметр сечения дымохода, м
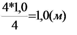
dг= 
hтр=
73,3 (Н/м2)
2) hм.с=
57,3 (Н/м2)
e=1,25∙1,0∙1,0=1,25(см. приложение, таблица А3, пункт 6)
3) hгеом=9,81*3*(1,29-1,28)=0,28 (Н/м2)
Тогда hпотерь=73,3+57,3+0,28=130,9 (Н/м2)
Ответ: hпотерь=130,9 Н/м2
Таблица 5 – Варианты заданий
| № варианта | V, | Тго, к | H, м | , м | Fo, |
| 1, 11, 21 | 1,0 | 3,0 | 0,5х0,5 | ||
| 2, 12, 22 | 1,5 | 3,5 | 0,6х0,6 | ||
| 3, 13, 23 | 2,0 | 4,0 | 0,7х0,7 | ||
| 4, 14, 24 | 2,5 | 4,5 | 0,8х0,8 | ||
| 5, 15, 25 | 3,0 | 5,0 | 0,9х0,9 | ||
| 6, 16, 26 | 3,5 | 5,5 | 1,0х1,0 | ||
| 7, 17, 27 | 4,0 | 6,0 | 1,1х1,1 | ||
| 8, 18, 28 | 4,5 | 6,5 | 1,2х1,2 | ||
| 9, 19, 29 | 5,0 | 7,0 | 1,3∙х,3 | ||
| 10, 20, 30 | 5,5 | 7,5 | 1,4х1,4 |
|
|
|
, м






