Производственные ресурсы организации составляют: пашня 1 524 га, сенокосы 771 га, пастбища 252 га.
Фактические затраты труда организации составляют: годовой труд –
315 000 чел.час., труд в напряженный период – 126 000 чел.час. (40% годового), привлеченный труд до 15 750 чел.час. (5% годового).
Перспективные затраты труда (годовые) составляют [6, стр.8]:
315 000 - 3 * 1% * 315 000= 305 550
Труд в напряженный период составляет:
305 550 * 40% = 122 220 [6, стр.8]
Привлеченный труд составляет [6, стр.8]:
305 550 * 5% = 15 278
Таблица 2.1 Наличие производственных ресурсов
| Ресурсы | На перспективу |
| Пашня, га | 1 524 |
| Сенокосы, га | |
| Пастбища, га | |
| Годовой труд, чел.-час. | 305 550 |
| Труд в напряженный период, чел.-час. | 122 220 |
| Привлеченный труд, чел.-час. | 15 278 |
Затраты на 1 чел. ч. Привлеченного труда – 3,90 у. д. е. [1]
Природные сенокосы можно использовать для получения сена, сенажа; пастбища – для получения сенажа и зеленого корма [1, стр.23].
Данное распределение поможет оптимизировать расход кормов на зеленый корм и сенаж.
Возможная средняя урожайность зерновых культур может быть рассчитана по корреляционной модели вида [1, стр. 87]:
|
|
|
ух = a o+a1t,
где ао – фактическая урожайность зерновых на начало планового периода;
а1 – коэффициент регрессии, характеризующий возможное среднегодовое приращение урожайности в хозяйстве;
t – плановый период (равный 3 года).
Коэффициент приращения a1 в зависимости от средней фактической урожайности этих культур на начало планового периода
может составить [1, стр. 87]:
| Среднегодовое приращение,
|
| До 20 | 2,4-2,3 |
| 20,1-25 | 2,2-2,1 |
| 25,1-30 | 2,0-1,9 |
| 30,1-35 | 1,8-1,5 |
| 35,1-40 | 1,4-1,0 |
| 40 и более | 0,9-0,6 |
Рассчитаем перспективную урожайность зерновых и зернобобовых культур хозяйства:
Средняя фактическая урожайность зерновых культур хозяйства (форма №9 АПК): 44,30
Среднегодовое приращение зерновых в целом – 0,80
Зерновые – всего (прогноз):
44,30 + 0,80*3 = 46,70
Рассчитаем перспективную урожайность отдельных зерновых культур хозяйства:
Таблица 2.3 Перспективная урожайность отдельных зерновых культур и структура зернового клина [6, стр.9]
| Вид зерновых культур | Фактический сбор продукции, ц /га | Коэффициент соотношения | Планируемый сбор продукции с 1 га, ц |
| Озимые зерновые | 44,70 | 44,70 / 44,30 = 1,01 | 1,01*46,70=47,12 |
| Яровые зерновые | 45,00 | 45,00 / 44,30 = 1,02 | 1,02*46,70=47,44 |
| Зернобобовые | 34,30 | 34,30 / 44,30 = 0,77 | 0,77*46,70=36,16 |
| Зерновые - всего | 44,30 | * | 46,70 |
При планировании урожайности отдельных видов зерновых культур используются коэффициенты соотношения средней урожайности зерновых и отдельных видов зерновых культур в рассматриваемом хозяйстве или в однотипном хозяйстве с устойчивой специализацией [1, стр. 87].
|
|
|
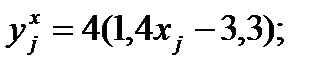
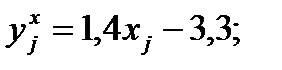
Для большинства сельскохозяйственных организаций j КМ формирования их урожайности (ц) в зависимости от урожайности зерновых (
) имеют следующий вид
Таблица 2.4 Расчет прогнозной урожайности
| Вид культур | Коэффициент соотношения | Планируемый сбор продукции с 1 га, ц |
| Картофель |
| 31,7*46,700,581=295,76 |
| Многолетние травы | ||
| на сено |
| 8,0*46,700,535 =62,54 |
| на семена |
| 0,508*46,700,571=4,56 |
| на зеленый корм |
| 4,5(8,0*46,700,535)=281,44 |
| Однолетние травы | ||
| на зеленый корм |
| 2,76*46,701,083=177,33 |
| Сенокосы: | ||
| на сено |
| 1,4*46,70-3,3=62,08 |
| Пастбища: | ||
| на зеленый корм |
| 4(1,4*46,70-3,3)=248,32 |
Урожайность сенокосов на сенаж в 3 раза выше сенокосов на сено, а пастбищ на сенаж – 0,55 урожаности пастбищ на зеленый корм.
Поскольку планируемая (расчетная) урожайность некоторых культур ниже фактической, то за прогнозную урожайность принимаем урожайность на 10,00% выше фактической.
Урожайность оставшихся культур определяем как фактический показатель + 10,00%.
Таким образом, расчетные значения прогнозной урожайности можно представить следующим образом:
Таблица 2.5 Показатели урожайности
| Культура | Урожайность фактическая, ц/га | Урожайность расчетная, ц/га | Урожайность прогнозная, ц/га | |
| Зерновые и бобовые | 44,3 | 46,70 | ||
| озимые зерновые | 44,7 | 47,12 | 47,12 | |
| яровые зерновые | 45,0 | 47,44 | 47,44 | |
| зернобобовые | 34,3 | 36,16 | 36,16 | |
| Кукуруза и зерно | 65,0 | 71,50 | ||
| Сахарная свекла | 418,9 | 396,18 | 460,79 | |
| Рапс | 15,7 | 17,27 | ||
| Многолетние травы | ||||
| на сено | 38,9 | 62,54 | 62,54 | |
| на семена | 1,0 | 4,56 | 4,56 | |
| на зеленый корм | 148,2 | 281,44 | 281,44 | |
| Однолетние травы | ||||
| на зеленый корм | 127,0 | 177,33 | 177,33 | |
| Кукуруза на силос | 131,8 | 358,68 | 358,68 | |
| Сенокосы улучшенные: | ||||
| на сено | - | 62,08 | 62,08 | |
| на сенаж | - | 84,00 | ||
| Пастбища улучшенные: | ||||
| на сенаж | - | 136,58 | ||
| на зеленый корм | - | 248,32 | 248,32 |
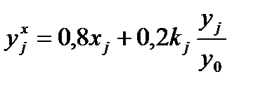
Затраты труда (чел.-ч) на 1 га можно рассчитать по КМ в зависимости от фактических затрат труда на начало планового периода (
) и урожайности сельхозкультуры [1, стр. 91].
КМ для большинства хозяйств имеют следующий вид при 

Где
- фактические затраты труда на 1 га с.х. культуры, отрасли j;
- нормативные затраты труда на 1 га с.х. культуры, отрасли j;
- соответственно прогнозная и фактическая на начало планового периода урожайность с.х. культуры, отрасли j, чел. часов.
Прогнозные затраты труда, по которым отсутствуют КМ, берем в размере фактических.
Распределение по зерновым культурам следующее [1, стр. 99]:
- озимые зерновые: 10% на корм, 3ц/га на семена, остальное на корм;
- яровые зерновые: 3ц/га на семена, 40% на товар, остальное на корм.
- зернобобовые: 3 ц/га на семена, остальное на корм.
Данное распределение позволяет свести к минимуму закупки концентратов при полном выполнении договорных поставок по зерну.
Часть соломы используется на корм. Принимаем что расчете на 1 га яровых выход соломы составит 12, на 1 га озимых 13 ц..
Следовательно, урожайность сельскохозяйственных культур, распределение продукции полученной с 1 га, затраты труда, представлены в таблице 2.5.
Таблица 2.5 Прогнозные показатели развития отрасли растениеводства 330221 Слуцкого района Минской области
| Культура | Урожайность прогнозная, ц/га | В том числе | Затраты труда (прогнозные) | |||
| на корм | на семена | товарная продукция | годовые | в напряженный период | ||
| Зерновые и бобовые | ||||||
| озимые зерновые | 47,12 | 4,71 | 3,00 | 39,41 | 23,80 | 10,71 |
| яровые зерновые | 47,44 | 25,46 | 3,00 | 18,98 | 18,97 | 8,54 |
| зернобобовые | 36,16 | 33,16 | 3,00 | - | 68,86 | 30,98 |
| Кукуруза и зерно | 71,50 | 68,50 | 3,00 | - | 89,24 | 40,16 |
| Рапс | 17,27 | - | - | 17,27 | 13,33 | 6,00 |
| Многолетние травы | ||||||
| на сено | 62,54 | 62,54 | 18,10 | 8,14 | ||
| на семена | 4,56 | 4,56 | 22,33 | 10,05 | ||
| на зеленый корм | 281,44 | 281,44 | 2,53 | 1,14 | ||
| Однолетние травы | ||||||
| на зеленый корм | 177,33 | 177,33 | 2,47 | 1,11 | ||
| Кукуруза на силос | 358,68 | 358,68 | 42,86 | 19,29 | ||
| на сено | 62,08 | 62,08 | 19,00 | 14,00 | ||
| на сенаж | 84,00 | 84,00 | 24,00 | 18,00 | ||
| Пастбища: | ||||||
| на сенаж | 136,58 | 136,58 | 25,00 | 17,00 | ||
| на зеленый корм | 248,32 | 248,32 | 13,00 | 7,00 |
|
|
|






