Также, в хозяйстве развита отрасль животноводства (таблица 2.5)
Таблица 2.7 Показатели развития отраслей животноводства (фактические данные)
| Вид животных | Поголовье | Продуктивность, ц | Затраты труда, чел/час | |
| г | ц | |||
| Коровы | 62,65 | 235,39 | ||
| Молодняк КРС | 1 094 | 672 * 365/100000 = 2,45 | 19,20 |
Продуктивность среднегодовой коровы, привеса молодняка КРС и свиней можно рассчитать в зависимости от фактической на начало планового периода и приращения урожайности зерновых культур как мерила кормовой базы [1, стр. 89]:
(при
от 1 до 20;
от 1 до 20),
где
соответственно перспективная продуктивность коров, молодняка и свиней и ее значение на начало планового периода в хозяйстве

продолжительность планового периода;
приращение урожайности зерновых, т.е. разность между перспективной и фактической урожайностью в хозяйстве 
=46,70-44,30= 2,40
десятичный логарифм;
коэффициент регрессии.
В результате расчетов получены следующие модели:
Надой молока на среднегодовую корову, ц:
, где
=62,65ц,
|
|
|
= 62,65*2,718^(2,40/(62,65*КОРЕНЬ(2,6*LOG10(3)) = 64,85ц
Приплод на среднегодовую корову:
, где
надой молока на 1 корову за год, ц, следовательно, 1,11-8,99/64,85 = 0,97
Среднесуточный привес молодняка КРС, г:
, где
=672г,
= 672*2,718^(2,40/(672*КОРЕНЬ(0,0054*LOG10(3)) = 723г
следовательно, годовая продуктивность молодняка КРС, ц:
723г*365/100000 = 2,64ц
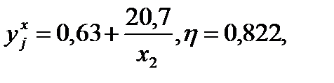
Рассчитаем расход питательных веществ (ц к.ед.) на производство 1 ц продукции животноводства по корреляционным моделям [1, стр. 90]:
1) молоко:
где
надой молока на 1 корову за год, ц; т.е.
0,63+20,7/64,85ц = 0,95 (ц к.ед.)
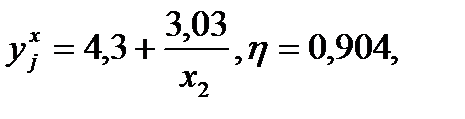
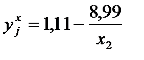
2) привес КРС: 
где
среднесуточный привес, кг; т.е.
4,3+3,03/(723/1000)= 8,49 (ц к.ед.)
Расход КЕ на 1 голову составит:
- коровы – 0,95 * 64,85 = 61,55,
- молодняк КРС – 8,49 * 2,64 = 22,40,
Обеспеченность 1ц кормовых единиц переваримым протеином должна составить, ц: в оптимальном рационе для коров – 0,105; для молодняка КРС – 0,110; свиней – 0,115.
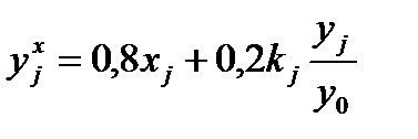
Затраты труда (чел.-ч) на среднегодовую (среднюю) голову можно рассчитать по КМ в зависимости от фактических затрат труда на начало планового периода (
) и среднегодовой продуктивности животного, ц (
).
КМ для большинства хозяйств имеют следующий вид при 

Где
- фактические затраты труда на 1 голову, отрасли j;
- нормативные затраты труда на 1 голову, отрасли j;
- соответственно прогнозная и фактическая на начало планового периода продуктивность, отрасли j, чел. часов. [1, стр. 91-92].
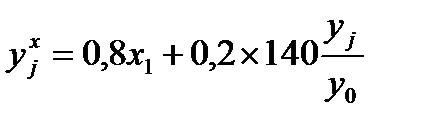
Для среднегодовой коровы затраты труда составляют:

0,8*235,39 +0,2*140*(64,85/62,65)= 217,29
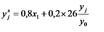
Для среднегодовой головы молодняка КРС:

0,8*19,20 +0,2*26*(2,64/2,45)= 20,93
Таким образом, прогнозные показатели продуктивности сельскохозяйственных животных и показатели затрат ресурсов приведены в таблице 2.8.
|
|
|
Таблица 2.8 Прогнозные показатели развития отрасли животноводства 330221 Слуцкого района Минской области
| Вид животных | продуктивность, ц | расход ц КЕ на 1 ц продукции | Расход на 1 гол | Затраты труда, чел.-час | |||
| ц КЕ | ц ПП | годовые (прогнозные) | в напр. период % годовых [1 стр.101] | в напряженный период | |||
| Коровы | 64,85 | 0,95 | 61,55 | 6,46 | 217,29 | 33% | 71,71 |
| Молодняк КРС | 2,64 | 8,49 | 22,40 | 2,46 | 20,93 | 33% | 6,91 |
Рационы кормления животных планируются со скользящими переменными (добавками) для всех групп животных:
Предельные (минимальные и максимальные) нормы скармливания отдельных кормов определяем по фактическим выражениям, приведенным в приложении 2.
При этом требуется, чтобы питательность рациона по минимальной норме составляла 80-85 % от требуемой, а по максимальной норме – 115-120% от требуемой [1, стр. 96].
Таким образом, предельные нормы (допустимые) скармливания кормов для отрасли животноводства 330221 с учетом требуемой питательности рациона представлены в таблице 2.9.
В случае, если фактическая норма или нормы скармливания ряда кормов противоречат физиологически допустимым нормам, эти фактические нормы корректируем до физиологически допустимых.
Таблица 2.9 Предельные нормы скармливания кормов (допустимые), ц
| На среднегодовую корову | На голову молодняка КРС | |||
| не менее | не более | не менее | не более | |
| Концентраты | 16,21 | 25,94 | 4,03 | 8,27 |
| Силос | 12,97 | 45,39 | 5,60 | 8,96 |
| Зеленый и пастбищный корм | 59,45 | 82,42 | 17,92 | 26,88 |
| Сено | 12,97 | 38,91 | 7,84 | 10,08 |
| Сенаж | 25,94 | 64,85 | 4,48 | 13,20 |
| Солома | 1,54 | 2,47 | - | - |
| КЕ | 43,59 | 86,96 | 13,34 | 23,40 |
| ПП | 4,69 | 9,32 | 1,44 | 2,53 |
Планирование реализации
План реализации товарной продукции должен в среднем вырасти не менее чем на 3% в год. При этом хозяйство может увеличить объем реализации продукции животноводства за счет сокращения реализации продукции растениеводства. Из всей произведенной товарной продукции 70% составят договорные поставки, а остальное - рыночный фонд. [5, эл. версия стр.34]. По продукции не имеющей рыночного фонда перспективный объем реализации составит 100% + 3% приращения за год.
В качестве реализационных цен необходимо взять расчетные цены в зависимости от выручки (форма 7 АПК) и количества реализованной продукции. То есть, себестоимость всего умножили на 1000 и делили на количество тонн реализации.
Стоимость продукции рыночного фонда, который включает зерно, картофель, овощи, говядину и свинину – на 25 % выше, чем при реализации государству.
Таблица 2.10 План реализации продукции и цены реализации
| Количество, ц | Перспективный объем реализации, ц | Договорные поставки, ц | Цена государству, тыс. руб. | |
| Зерно | 21 974 | 17 580 | 135,02 | |
| Рапс | 2 220 | 2 420 | 2 420 | 292,34 |
| Сахарная свекла | 29 320 | 31 959 | 31 959 | 30,66 |
| мясо КРС | 2 080 | 2 267 | 1 814 | 1 639,11 |
| Молоко | 34 490 | 37 594 | 37 594 | 266,31 |
Планирование покупок
Организацией закуплено в отчетном году ряд продукции и кормов (таблица 2.11). Закупочные цены установлены в размере рыночных.
Хозяйство может закупать комбикорма по цене на 40% выше стоимости зерна [4, эл. версия стр.30].
Таблица 2.11 Покупка кормов и другой продукции 330221
| Продукция | закуплено всего, ц | Цена 1 ц, у д.е. |
| Зерновые и зернобобовые | 45 410 | 30,3*1,4=42,4 |
| Картофель | 10 280 | 16,7 |
| Семена льна-долгунца | 600,0 | |
| Комбикорм | 135,02*1,4=236,3 |






