Биполярные транзисторы. Транзисторами называются полупроводниковые приборы с двумя взаимодействующими n‑p‑переходами

1.2.1 Общие положения

Транзисторами называются полупроводниковые приборы с двумя взаимодействующими n‑p‑переходами. По чередованию переходов транзисторы бывают двух типов: p-n-p – транзисторы и n-p-n – транзисторы (рис. 11).

Средний слой транзистора называют базой (Б), один из крайних – эмиттером (Э), другой – коллектором (К). Стрелка в обозначении эмиттера показывает направление протекания положительного тока.

n-p-n - транзистор p-n-p - транзистор
Коллектор
База
Эмиттер
Коллектор
База
Эмиттер
Рис. 11. Структура биполярного транзистора n-р-n и р-n-р типа

В зависимости от того, какой из электродов транзистора является общим для входной и выходной цепей, различают три схемы включения:
с общей базой (ОБ) – рис. 12,а; с общим эмиттером (ОЭ) – рис, 12,б; и с общим коллектором (ОК) – рис. 12. в.

Э
I Э
I К
Б
I б
К
I б
I Э
I К
I К
I б
Э
I Э
ОК
ОЭ
ОБ
U КЭ
U КЭ
U БЭ
U Б
U ЭБ
U КБ
Вход
Выход
а)
в)
б)
Рис. 12. Схемы включения биполярного транзистора

Наиболее часто применяется схема ОЭ, так как позволяет получить наибольший коэффициент усиления по мощности.

Схема ОК усиливает электрический ток и мощность, но не усиливает напряжение.

Схема ОБ обеспечивает усиление напряжения и мощности, но не усиливает ток.

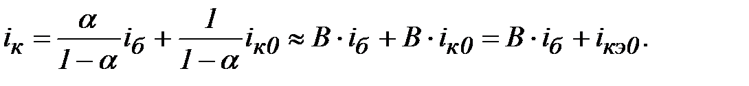
Токи электродов транзистора связаны соотношением

I Э = I Б + I К (1.8).

В транзисторе, включённом по схеме ОЭ, ток коллектора

I К·I Э + I КЭО (1.9)

где α – коэффициент передачи тока эмиттера в коллектор (α=0,9,…;099);

I КЭО – обратный ток коллекторного перехода, в схеме ОЭ равен току коллектора при разомкнутом выводе базы (I Б = 0).

Подставив (1.8) в (1.9) получим

(1.10)

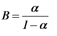
В выражении (1.10) – статический коэффициент передачи тока базы (в коллектор), т.е.

. (1.11)

Так как I КБО << I К и I КБО << I Б, то коэффициент передачи тока базы

. (1.12)

Статические вольт-амперные характеристики для схемы включения ОЭ представлены на рис. 13. На рис. 13. а изображены входные характеристики I Б = ƒ(U бэ) при UКЭ = Const, на рис. 13. б – выходные I К = ƒ(U КЭ) при
I Б = Const.

На рис. 13,а показано построение характеристического треугольника для определения входного сопротивления транзистора в системе h – параметров

. (1.13)

На рис. 13,б показано определение коэффициент усиления транзистора. Коэффициент определяется через приращения токов базы и коллектора при постоянном напряжении U КЭ (на рисунке U КЭ = 5 В)

(1.14)

Для транзисторов малой мощности (Р К < 300 мВт) этот параметр определяется при напряжении U КЭ = 5 В. Для транзисторов средней мощности (Р К < 3 Вт) – при напряжении U КЭ = (10 ÷ 15) В.

I Б
U БЭ
U БЭ
I Б
U KЭ= 5 B
мВ
а)
б)
Рис. 13. Вольт-амперные характеристики биполярного транзистора
I Б6
I Б5
I Б4
I Б3
I Б2
I К
U KЭ
I К
I Б= I Б4I Б3
5 В

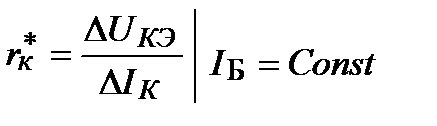
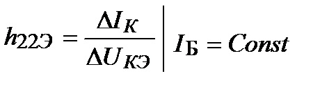
Определение выходной проводимости транзистора h22Э в системе h‑параметров показано на рис.14.

. (1.15)

I Б6
I Б5
I Б4
I Б3
I Б2
I К
U KЭ
U КЭ
I К
Рис.14. Определение выходной проводимости h22Э
Обратная выходной проводимости величина определяет дифференциальное сопротивление коллекторного перехода

(1.16)

Его значение находятся в пределах 10 ÷ 100 кОм.

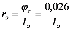
Дифференциальное сопротивление перехода эмиттер–база rЭ зависит от постоянной составляющей тока эмиттера

(1.17)

Значение сопротивления гЭ лежит в пределах от единиц до десятков Ом.

Объёмное сопротивление базы

rб = h11э – (В + 1)∙rЭ, (1.18)

Обычно гб >> гЭ и для маломощных транзисторов составляет
(100 ÷ 500) Ом.

1.2.2 Система обозначения транзисторов

В основу системы положен буквенно-цифровой код.

Первый элемент (цифра или буква) обозначает исходный полупроводниковый материал аналогично диодам.

Второй элемент определяет подкласс прибора. Т – подкласс транзистор биполярный.

Третий – функциональные возможности транзистора – допустимую мощность рассеяния и граничную частоту.

Четвёртый – порядковый номер разработки технологического типа транзистора. Обозначается цифрами от 01 до 99 (в последнее время появились разработки с номерами от 101 до 999)

Пятый – обозначает дополнительные параметры транзистора в данной разработке. Они обозначают буквами русского алфавита

Например, транзистор КТ301А – кремниевый транзистор биполярный, высокочастотный, малой мощности, номер разработки 01, разновидности А.

Обозначение транзистора на принципиальных схемах нормировано и приведено на рис. 11 и 12. Направление стрелки эмиттера показывает положительное направление тока эмиттера.

Изображение транзистора с выводами можно поворачивать на 90 градусов. Стандарт разрешает не изображать окружность.

1.2.3 Допустимые электрические и тепловые параметры

Максимально допустимые напряжения это такие предельные напряжения, при которых транзистор не теряет своих электрических свойств. Превышение этих напряжений не допускается, т.к. может наступить электрический пробой р-n-переходов транзистора. В справочниках приводятся значения допустимых напряжений U КБmах, U КЭmах, U ЭБmах.

Максимально допустимая рассеиваемая мощность коллектора P к.max – наибольшая мощность, рассеиваемая коллектором транзистора при температуре окружающей среды Т С (или корпуса T К).





Подборка статей по вашей теме: