Полупроводниковые диоды

1.1.1 Выпрямительные диоды

Полупроводниковым диодом называют двухэлектродный полупроводниковый прибор, содержащий один или несколько электрических переходов (pn ‑переходов или переходов металл-полупроводник).

Области применения полупроводниковых диодов определяются их вольт-амперными характеристиками и параметрами.

Под вольтамперной характеристикой (ВАХ) полупроводникового диода понимают зависимость тока через диод I от приложенного к нему напряжения U. Для вольт-амперной характеристики идеализированного p - n -перехода справедлива следующая формула (уравнение Шокли):

, (1.1)

где I 0 – обратный ток насыщения;

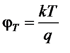
φ T – температурный потенциал;

U – напряжение на переходе.

Температурный потенциал ,

где kпостоянная Больцмана;

T – температура по шкале Кельвина;

q – заряд электрона.

Температурный потенциал имеет размерность напряжения и при температуре 200С φ T ≈ 26 мВ.

График вольтамперной характеристики, построенный согласно уравнению (1.1), приведен на рис. 1. На характеристике принято выделять прямую ветвь, соответствующую прямому напряжению на p - n -переходе, и обратную ветвь, соответствующую обратному напряжению на p - n -переходе. Прямое напряжение считается положительным, а обратное – отрицательным. При увеличении прямого напряжения ток резко возрастает и при изменении напряжения на 60 мВ ток изменяется на порядок.

При увеличении обратного напряжения обратный ток идеализированного p-n-перехода сначала быстро возрастает до значения I 0, а затем остается неизменным.

Прямая ветвь
U
I
Обратная ветвь
Рис. 1. Вольтамперная характеристика p-n-перехода
Уравнение вольтамперной характеристики можно разрешить относительно напряжения:

(1.2)

Продифференцировав это соотношение, найдём дифференциальное сопротивление p‑n‑перехода

. (1.3)

При прямом напряжении дифференциальное сопротивление rдиф уменьшается с ростом тока I. При температуре Т = 300 К и прямом токе I = 1 мА получаем rдиф = 26 Ом, т. е. при прямом напряжении дифференциальное сопротивление p-n-перехода составляет единицы Ом.

При обратном напряжении дифференциальное сопротивление перехода rдиф. обр резко увеличивается и при I →− I 0, rдиф. обр→ ¥.

В реальных p-n-переходах необходимо учитывать объёмное сопротивление базы rб, с учётом которого прямое напряжение на реальном диоде больше, чем на идеальном.

U
I
 
D U
T 2> T 1
 
I
Рис. 2. Влияние температуры на характеристику перехода
С увеличением температуры падение напряжения на p-n-переходе, включенном в прямом направлении, уменьшается рис. 2.

Обратный ток в реальных p-n-переходах обусловлен в основном тепловым током I 0.

Эта составляющая обратного тока сильно зависит от температуры и практически не зависит от приложенного напряжения.

Вольтамперная характеристика перехода Шоттки(перехода металл-полупроводник) описывается тем же

 
уравнением и имеет тот же вид, что и вольтамперная характеристика
p-n-перехода. Отличие вольтамперной характеристики перехода Шоттки от характеристики p-n-перехода заключаются в том, что прямое падение напряжения на переходе Шоттки на (0,2 ÷ 0,4) В меньше, чем на p‑n‑переходе с аналогичными параметрами, изготовленном на основе кремния (рис. 3).

В реальных p - n -переходах при увеличении обратного напряжения наблюдается пробой, под которым понимают резкое увеличение

обратного тока. Различают три вида пробоя: тепловой, лавинный и туннельный.

Переход Шоттки
U ПР
p - n -переход
0 0,5 0,7 В
0,2 ÷ 0,4 В
Рис. 3. ВАХ перехода Шоттки
I ПР
Тепловой пробой обусловлен нагреванием p-n-перехода при протекании через него обратного тока. Рост температуры p-n-перехода приводит к росту обратного тока. Если количество теплоты, выделяемой в переходе, превышает количество отводимой теплоты, то этот процесс будет лавинообразно развиваться и закончится разрушением p‑n‑перехода.

U 2
U
I
Т 2> Т 1
U 1
ТКН > 0
Рис. 4. Лавинный пробой
 
Лавинный пробой (рис. 4) возникает в
p-n-переходах при невысокой степени легирования. Напряжение лавинного пробоя очень слабо зависит от тока, протекающего через p‑n‑переход. Температурный коэффициент напряжения лавинного пробоя положителен.

Туннельный пробой имеет место в сильно легированных p‑n‑переходах и связан с туннельным эффектом.

Напряжение туннельного пробоя не превышает 5 В и очень слабо зависит от тока, протекающего через
p-n-переход.

Лавинный и туннельный пробои обратимы, если не переходят в тепловой.

На вольтамперную характеристику диода существенное влияние оказывает температура окружающей среды. При увеличении температуры обратный ток насыщения увеличивается у кремниевых диодов примерно в 2,5 раза при изменении температуры на каждые 10°С.

Максимально допустимое увеличение обратного тока диода определяет допустимую температуру диода, которая составляет 150 ÷ 200 °С для кремниевых диодов.

Диоды общего применения характеризуются следующими основными параметрами:

– дифференциальное сопротивление диода на прямой ветви ВАХ при заданном токе;

(1.4)

– сопротивление постоянному току в заданной точке ВАХ

(1.5)

температурный коэффициент напряжения (ТКН) прямой ветви ВАХ

(1.6)

– допустимый прямой ток анода I адоп;

– обратное допустимое напряжение U обр.доп.

1.1.2 Специальный диод – стабилитрон

Стабилитроны предназначены для стабилизации напряжения. Их работа основана на использо­вании явления электрического пробоя р-n-перехода при включе­нии диода в обратном направлении.

Электрический пробой обратим, т. е. он не приводит к повреждению диода и при снижении обратного напряжения (или ограничения тока) свойства диода сохраняются.

При прямом включении при увеличении температуры падение напряжения на стабилитроне уменьшается рис. 5
ТКН = ∆ U ПР/∆t = – 2,5 мВ/°С (1.8)

t
∆U СТ
U ОБР U СТ
I ОБР
Тепловой пробой
Электрический пробой
∆U ПР
0,4 0,6 0,8 U ПР В
мА I ПР
I СТmax
600С 200С ∆t0С
P aдоп
t0С
Рис. 5. Вольт-амперная характеристика стабилитрона
∆I ПР


Если через стабилитрон протекает постоянный обратный ток, то при изменении температуры падение напряжения на нем также изменяется. При напряжении более 5 В ТКН положительный, при напряжении менее 5 В ТКН отрицательный, при напряжении 5 Вольт ТКН ≈ 0.

 
U СТ
Рис. 6. Эквивалентная схема замещения стабилитрона
rст
VD
Стабилитрон как источник напряжения представляют эквивалентной схемой, приведённой на рис. 6.

U СТ – идеальный источник напряжения,

rСТвнутреннее сопротивление этого источника – дифференциальное сопротивление стабилитрона, VD – идеальный диод с напряжением U пр = 0 В.

Основные параметры стабилитронов и их типовые значения.

1. Напряжение стабилизации U СТ – падение напряжения на стабилитроне при протекании заданного тока стабилизации (от нескольких долей вольта до сотен вольт).

2. Максимальный допустимый ток стабилизации I СТmax– наибольший ток стабилизации, при котором нагрев стабилитронов не выходит за допустимые пределы (от десятков миллиампер до единиц ампер).

3. Минимальный ток стабилизации I СТmin – наименьшее значение тока стабилизации, при котором режим пробоя устойчив, (единицы миллиампер).

4. Дифференциальное сопротивление rСТ – отношение приращения напряжения стабилизации к вызывающему его приращению тока стабилизации гст = ∆U СТ /∆I СТ (доли -десятки Ом). Дифференциальное сопротивление уменьшается при увеличении тока стабилизации.

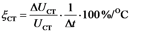
5. Температурный коэффициент напряжения стабилизации ξСТ ‑ относи-тельное изменение напряжения стабилизации ∆ U СТ при изменении температуры окружающей среды на ∆t 0С (ξСТ - тысячные доли процента).

Для стабилитронов этот параметр принято выражать в относительном изменении напряжения стабилизации

(1.7)

6. Температурный коэффициент напряжения при прямом включении стабилитрона ТКН = ∆ U ПР / ∆t ≈ – 2,5 мВ/°С.

7. Максимально допустимая рассеиваемая мощность Р ДОП = U СТ· I СТ max. Если выделяющаяся в виде тепла мощность превышает допустимую для стабилитрона, то прибор начнёт перегреваться и может наступить тепловой пробой.

1.1.3 Специальный диод – тиристор

Тиристорами называют полупроводниковые приборы с тремя и более взаимодействующими p-n-переходами.

В зависимости от числа выводов тиристоры делят на:

- диодные (динисторы), имеющие два вывода - от анода и катода,

- триодные (тринисторы), имеющие выводы от анода, катода и одной из эквивалентных баз,

- тетродные, имеющие выводы от всех областей.

В процессе работы тиристор может находиться в состоянии:

· выключен или закрыт, в этом состоянии тиристор имеет высокое сопротивление и ток через него практически равен нулю;

· включён или открыт, в этом состоянии тиристор имеет малое сопротивление, ток в цепи определяется внешним сопротивлением.

1.1.4 Специальный диод – светодиод

Светодиод – прибор с p-n-переходом, излучающим свет при протекании через него прямого тока. По своим электрическим свойствам светодиод аналогичен обычному диоду. Отличие состоит в том, что напряжение отпирания при прямом включении составляет примерно 2 вольта.

Светодиоды применяются для индикации наличия напряжения (тока) в электрической цепи, как источники света.

1.1.5 Обозначение диодов

В основу обозначений универсальных диодов положен буквенно‑цифро-вой код вида

Х Х ХХХХ Х


1 2 3 4 5

1 – материал диода: Г или 1 – германий, К или 2 – кремний;

А или 3 – соединения галлия.

2 – подкласс прибора: Д – диоды выпрямительные и импульсные,

С – стабилитроны;

3 – функциональный параметр, подкласс прибора.

4 – число порядковый номер заводской разработки.

5 – буква классификация по параметрам (квалификационная литера).

Второй элемент – вид прибора – диод Д.

Следующие элементы характеризуют его эксплуатационные свойства. Например, диод общего применения КД101А расшифровывается как кремниевый диод малой мощности, разработки номер 01, разновидности А.

Условное графическое обозначение (УГО) диодов общего применения на принципиальных схемах приведено на рис. 7.

I ПР + –
А К
Рис. 7. Обозначение универсального диода
Один из электродов обозначается буквой А – анод, другой электрод – буквой К – катод.

Если к аноду приложено положительное напряжение, а к катоду – отрицательное, то диод включен в прямом направлении и открыт. На диоде выделяется напряжение U ПР и течёт прямой ток I ПР.

Если к аноду приложено отрицательное напряжение, то диод включён в обратном направлении и закрыт, через диод протекает обратный ток малой величины I ОБР. Если приложенное обратное напряжение превышает напряжение пробоя, то происходит электрический пробой диода и в цепи потечёт ток.

На рис. 8 приведено УГО стабилитрона. В основу обозначений стабилитронов положен тот же буквенно-цифровой код, что и для диодов. Например, обозначение стабилитрона КС153А расшифровывается как кремниевый диод малой мощности (серия 100), разновидности А. В отличие от выпрямительных диодов последние два цифры обозначают напряжение стабилизации U СТ = 5,3 В.

УЭ
I А + –
А К
Рис. 9. Обозначение управляемого тиристора
На рис. 9 приведено УГО тиристора. Обозначение соответствует управлению тиристора по катоду, УЭ – управляющий электрод.

Тиристоры также обозначаются буквенно-цифровым кодом:

- первый элемент – исходный материал;

- второй элемент – вид прибора: Н – диодный тиристор – динистор (неуправляемый), У – триодный тиристор – (управляемый).

Рис. 10. Обозначение светодиода
Например, КУ201К – кремниевый, управляемый, средней мощности, 01 разработки, разновидности К.

На рис. 10 приведено УГО светодиода. Система обозначений светодиодов аналогична обозначениям прочих диодов. Второй компонент обозначения буква Л – светоизлучающий диод. Например, АЛС331 расшифровывается следующим образом: А – материал арсенид галлия, ЛС – матрица светодиодов. Последующие цифры обозначают номер разработки и эксплуатационные свойства.





Подборка статей по вашей теме: