Потенциал Леннард-Джонса (потенциал 6-12) — простая модель парного взаимодействия неполярных молекул, описывающая зависимость энергии взаимодействия двух частиц от расстояния между ними. Эта модель достаточно реалистично передаёт свойства реального взаимодействия сферических неполярных молекул и поэтому широко используется в расчётах и при компьютерном моделировании. Впервые этот вид потенциала был предложен Леннард-Джонсом в 1924 году.[1]
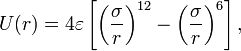
Потенциал Леннард-Джонса записывается в следующем виде:

где
— расстояние между центрами частиц,
— глубина потенциальной ямы,
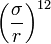
— расстояние, на котором энергия взаимодействия становится равной нулю. Параметры
и
являются характеристиками атомов соответствующего вещества. Характерный вид потенциала показан на рисунке, его минимум лежит в точке
.
При больших
молекулы притягиваются, что соответствует члену
в формуле. Эту зависимость можно обосновать теоретически, и обусловлена она силами Ван-дер-Ваальса (диполь-дипольное индуцированное взаимодействие).
|
|
|
На малых же расстояниях молекулы отталкиваются из-за обменного взаимодействия(при перекрытии электронных облаков молекулы начинают сильно отталкиваться), чему соответствует член
. Данный конкретный вид потенциала отталкивания, в отличие от вида потенциала притяжения, не имеет под собой теоретического обоснования. Более обоснованной является экспоненциальная зависимость[ источник не указан 980 дней ]. Однако потенциал отталкивания Леннард-Джонса более удобен в вычислениях, так как
, что и оправдывает его применение.
| |
Матан