Звуково́е давле́ние — переменное избыточное давление, возникающее в упругой среде при прохождении через неё звуковой волны. Единица измерения — паскаль (Па).
Мгновенное значение звукового давления в точке среды изменяется как со временем, так и при переходе к другим точкам среды, поэтому практический интерес представляет среднеквадратичное значение данной величины, связанное с интенсивностью звука: 
где
— интенсивность звука, p — звуковое давление, zs — удельное акустическое сопротивление среды, < > t — усреднение по времени.
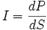
Интенсивность звука (абсолютная) — величина, равная отношению потока звуковой энергии dP через поверхность, перпендикулярную направлению распространения звука, к площади dS этой
поверхности:
(Вт/м2).
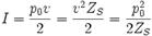
Интенсивность звука может быть выражена через амплитуду звукового давления p0 и колебательную скорость v:

где ZS — удельное акустическое сопротивление среды.