Производственный и технологический цикл производства

Производственный цикл – совокупность времени выполнения основных и вспомогательных операций по изготовлению продукции, а также всех необходимых перерывов. Или: время от запуска сырья в производство до сдачи готовой продукции на склад.

Время изготовления готового продукта (полуфабриката), включая перерывы, предусмотренные технологией, отражает длительность технологического цикла.

Структуру цикла характеризует коэффициент непрерывности процесса (Кнепр.), что связано с соблюдением соответствующего принципа организации производства:

.

Длительность технологического Ттех.ц. и производственного цикла Тпр.ц . определяется

.

,

где Тос.техн – время выполнения основных технологических операций; Твсп. – длительность вспомогательных операций.

В непрерывном производстве вспомогательные операции параллельны основным, при этом реализуется принцип параллельности. Поэтомув непрерывных производствах

,

- Тп. техн – технологические перерывы, не требующие применения труда и предусмотренные технологией (в ЦБП-отстой щелоков, вылежка картона, вызревание целлюлозы, отверждение клея; в производстве плит – время выдержки после сушки, склеивания, отделки деталей). Тос. техн . + Тп.техн. определяются по технологическому регламенту;

- Тп. проч. – прочие перерывы, связанные с режимом рабочего времени, перерывы по организационным причинам. Перерывы по организационным причинам не планируются, но учитываются по факту их возникновения.

Производственный цикл, Тпр.ц
Рабочий период, Траб
Время перерывов, Тпер
Время вспомогательных операций, Твсп
Основные технологические операции, Тос.техн
Технологически необходимые, Тп.техн
Остальные, Тп.проч: – связ. с режимом работы; – по орг. причинам и т. д.

Рис.2.2. Структура производственного и технологического циклов

Для изготовления бумаги (картона) из собственных полуфабрикатов производственный цикл составляет 12-14 часов, из привозных – 4-5 часов. Задача предприятия – уменьшение цикла производства. При этом быстрее оборачиваются оборотные средства, лучше используется оборудование и площади предприятия.

На лесохимических и гидролизных предприятиях длительность технологического цикла определяют установлением времени, затрачиваемого на единицу продукции по ведущей операции, так как предметы труда движутся параллельно. Затраты труда при соблюдении принципа параллельности - наименьшие.

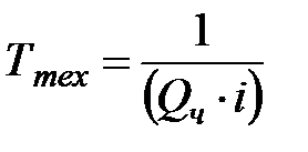
Длительность технологического цикла при непрерывно действующем ведущем оборудовании в часах определяется

,

где Qч - количество сырья, загружаемого в аппараты в течение 1 часа; i – выход продукции из единицы сырья.

При периодически действующем ведущем оборудовании длительность цикла рассчитывается:

,

где tоб – продолжительность одного оборота; Qоб – количество сырья, загружаемого в аппараты за один оборот.





Подборка статей по вашей теме: