Таблица 2.1
| Номер вопроса, задания | ВопросЫ, ЗАДАНИЯ | Номер правильного ответа |
| Что понимают под неразветвлённой электрической цепью? | ||
| Что понимают под разветвлённой электрической цепью? | ||
| Что такое узел разветвлённой электрической цепи? | ||
| Что такое ветвь разветвлённой электрической цепи? | ||
| Что такое контур разветвлённой электрической цепи? | ||
| Сформулируйте 1-й закон Кирхгофа. | ||
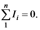
| Запишите математически 1-й закон Кирхгофа. | ||
| В каком случае сила тока берётся со знаком «+»? | ||
| В каком случае сила тока берётся со знаком «–»? | ||
| Сформулируйте 2-й закон Кирхгофа. | ||
| Запишите математически 2-й закон Кирхгофа. | ||
| В каком случае электродвижущая сила берётся со знаком «+»? | ||
| В каком случае электродвижущая сила берётся со знаком «–»? | ||
| В каком случае напряжение (падение напряжения) на участке цепи берётся со знаком «+»? | ||
| В каком случае напряжение (падение напряжения) на участке цепи берётся со знаком «–»? | ||
| Приведите последовательность анализа разветвлённой электрической цепи с помощью законов Кирхгофа. |
При правильном выполнении задания
-
= 18.
Таблица 2.1а
| Номер ответа | ответЫ |
| В замкнутом контуре электрической цепи алгебраическая сумма электродвижущих силравна алгебраической сумме падений напряжений на сопротивлениях, входящих в этот контур. | |
| Если направление обхода совпадает с направлением э.д.с.. | |
| Если направление обхода не совпадает с направлением э.д.с.. | |
| В узловой точке разветвленной электрической цепи алгебраическая сумма сил электрических токов равна нулю. | |
| Замкнутое очертание, образующее неразветвлённую цепь, которое можно получить при обходе по ветвям электрической цепи. | |
| Если направление обхода не совпадает с направлением тока. | |
| Если направление обхода совпадает с направлением тока. | |
| - определить число узлов электрической цепи; - определить число ветвей электрической цепи; - определить число независимых контуров электрической цепи; - выбрать условно положительные направления электрических токов во всех ветвях электрической цепи; - составить уравнения по первому закону Кирхгофа для узлов схемы электрической цепи (количество анализируемых узлов должно быть на один узел меньше, чем суммарное количество узлов электрической схемы цепи); - выбрать направления обходов всех независимых контуров электрической схемы цепи; - составить уравнения по второму закону Кирхгофа для всех независимых контуров электрической схемы цепи; - решить полученную систему уравнений. | |
| Электрическая цепь, состоящая из последовательно соединенных элементов. | |
| Электрическая цепь, состоящая из последовательно и параллельно соединенных элементов. | |
| Место соединения трёх и более ветвей электрической схемы. | |
| Если электрический ток направлен к узлу. | |
| |
| |
| Участок электрической цепи, состоящий из последовательно соединенных элементов, включенных между двумя узлами. | |
| Если электрический ток направлен от узла. |






