Эквивалентные преобразования схем соединений сопротивлений

Таблица 2.5

Номер вопроса, задания ВопросЫ, ЗАДАНИЯ Номер правильного ответа
Запишите выражение для расчёта эквивалентного сопротивления последовательно соединённых резисторов?  
Дайте определение проводимости участка цепи?  
Запишите определяющую формулу проводимости.  
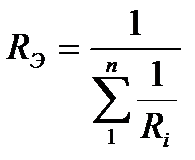
Запишите выражение для расчёта эквивалентного сопротивления параллельно соединённых резисторов?  
Три резистора, с сопротивления R 1 = 20 Ом; R 2 = 30 Ом; R 3 = 60 Ом, соединены последовательно. Определить эквивалентное сопротивление этих резисторов в омах.  
Три резистора, с сопротивления R 1 = 20 Ом; R 2 = 30 Ом; R 3 = 60 Ом, соединены параллельно. Определить эквивалентное сопротивление этих резисторов в омах.  
Определить эквивалентное сопротивление резисторов в омах при смешанном соединении (второй и третий резисторы включены параллельно, а первый резистор включён последовательно с ними), если сопротивления резисторов R 1 = 20 Ом; R 2 = 30 Ом; R 3 = 60 Ом.  
R 5
R3
R 2
R 1
I 3
R6
E
 
 
 
 
I 1
I 2
I 5
I 6
U 12
U 34
R4
I 4

Задана расчётная схема электрической цепи, для которой известно: Е = 200 В; R 1 = 2,5 Ом; R 2 = 10 Ом; R 3 = 3 Ом; R 4 = 3 Ом; R 5 = 40 Ом; R 6 = 60 Ом.  
Заменить параллельно включённые резисторы с сопротивлениями R 5, R 6одним эквивалентным резистором с сопротивлением R 56, рассчитать величину эквивалентного сопротивления в омах.Составить новую эквивалентную расчётную схему цепи.  
Заменить последовательно включённые резисторы с сопротивлениями R 3, R 56, R 4одним эквивалентным резистором с сопротивлением R 3456,рассчитать величину эквивалентного сопротивления в омах.Составить новую эквивалентную расчётную схему цепи.  
Заменить параллельно включённые резисторыс сопротивлениями R 2, R 3456 одним эквивалентным резистором с сопротивлением R 23456,рассчитать величину эквивалентного сопротивления в омах. Составить новую эквивалентную расчётную схему цепи.  
Определить силу тока I 1 в амперах.  
Определить напряжение U 12в вольтах.  
Определить силу тока I 2 в амперах.  
Определить силу тока I 3 и I 4 в амперах.  
15. Определить напряжение U 34в вольтах.  
16. Определить силу тока I 5 в амперах.  
17. Определить силу тока I 6 в амперах.  
18. Выполнить проверку, записав уравнение по первому закону Кирхгофа для узла 2.  

При правильном выполнении задания - = 11.

Таблица 2.5а

Номер ответа ответЫ
110.
30.
150.
40.
10.
R Э = R 1 + R 2 + R 3.
.
7,5.
Физическая величина обратно пропорциональная сопротивлению.
24.
5.
.
.
3.
2.
20.
120.
15.



double arrow
Сейчас читают про: