Проблема утилизации токсичных отходов химической промышленности сейчас стоит очень остро. До недавних пор основную массу токсичных веществ разрушали, сжигая их или обрабатывая другими химикатами, однако это тоже приводило к загрязнению окружающей среды, а, кроме того, обходилось очень дорого. В середине 1960-х гг. были обнаружены почвенные микроорганизмы, способные к деградации ксенобиотиков (неприродных, синтетических химических веществ; от греч. xenos, чужой) — гербицидов, пестицидов, хладагентов, растворителей и т. д. Это открытие подтвердило правильность предположения о том, что микроорганизмы можно использовать для экономичного и эффективного разрушения токсичных химических отходов.
Основную группу почвенных микроорганизмов, разрушающих ксенобиотики, составляют бактерии рода Pseudomona s. Биохимические исследования показали, что разные штаммы Pseudomonas способны расщеплять более 100 органических соединений. Нередко один штамм использует в качестве источника углерода несколько родственных соединений.
В биодеградации сложной органической молекулы в природных условиях обычно участвуют целые сообщества микроорганизмов и множество разных ферментов.
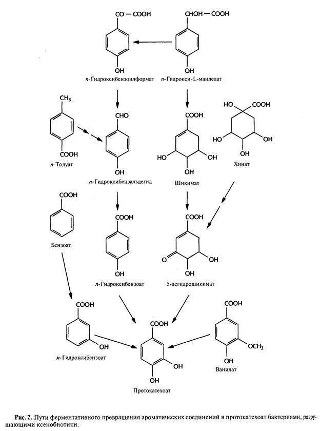
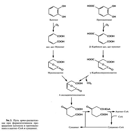
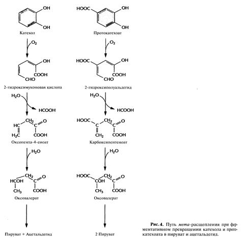
Бактерии, разрушающие негалогенированные ароматические соединения, как правило, превращают их в катехол (рис.1) или протокатехоат (рис.2), а затем, в ходе нескольких реакций окислительного расщепления, — в ацетил-Со А и сукцинат (рис.3) или пируват и ацетальдегид (рис.4). Эти последние соединения метаболизируются практически всеми микроорганизмами.




Галогенированные ароматические соединения, основные компоненты большинства пестицидов и гербицидов, с помощью тех же ферментов разрушаются до катехола, протокатехоата, гидрохинона или их галоге-нированных производных, причем скорость их деградации обратно пропорциональна числу атомов галогена в исходном соединении. Дега-логенирование (отщепление замещающего атома галогена от органической молекулы), необходимое для детоксикации соединения, часто осуществляется в ходе неспецифической диоксигеназной реакции, путем замещения галогена в бензольном кольце на гидроксильную группу. Эта реакция может происходить как в ходе биодеградации исходного галогенированного соединения, так и потом.
Разрушение ароматических соединений содержащих сульфогруппу (эмульгаторы, смачиватели, компоненты красителей) протекает обычно через предварительное удаление сульфогруппы, которая обеспечивает общую устойчивость молекулы к биодеградации.

Высокотоксичные ароматические нитросоединения в природных условиях довольно быстро восстанавливаются до соответствующих ароматических аминов, которые весьма токсичны, а многие являются канцерогенами. Дальнейшая деградация аминов протекает достаточно сложно, т.к. они легко конденсируются с карбоксильными и карбонильными группами биомолекул с образованием полииминов и полиаминов, устойчивых к последующему действию микроорганизмов.
Скорость и глубина биодеградации нефтяных загрязнений определяется, прежде всего, их компонентным составом. Легче всего разрушаются линейные алканы, гораздо хуже разветвленные, циклоалканы, непредельные и ароматические соединения. Ускорению биодеградации способствует наличие в среде солей азота и фосфора, интенсивная аэрация.
Устойчивость алкилсульфатов (ПАВы, детергенты, моющие средства и стиральные порошки) к биодеградации существенно зависит от природы и строения алкильной группы. “Мягки ” ПАВы, содержащие линейные, неразветвленные алкильные группы, довольно легко разлагаются микроорганизмами (β-окисление). “Жесткие” ПАВы, содержащие разветвленные радикалы на несколько порядков более устойчивы. Механизм биодеструкции тех и других включает на первом этапе удаление сульфатной группы под действием соответствующих ферментов-сульфатаз, приводящее к образованию спиртов, которые далее подвергаются дальнейшему метаболизму.
У микроорганизма Bacillus stearothermophilus обнаружен фермент роданаза, катализирующий превращение цианид-иона в роданид-ион. В грибах, паразитирующих на растениях цианогенах, обнаружен фермент цианатгидратаза, катализирующая гидролиз цианистого водорода до формамида. Представляется перспективным создание систем биологической очистки сточных вод от органических и неорганических соединений, содержащих цианогруппу.
Большой интерес для очистки сточных вод от ионов тяжелых металлов представляют сульфатредуцирующие бактерии. Эти микроорганизмы – анаэробы в качестве акцепторов атомов водорода от NAD*H используют не продукты собственного метаболизма (пируват, ацетальдегид), а сульфат –анионы SO42-, присутствующие в окружающей среде. В результате происходит восстановление сульфат – анионов до сульфид-анионов, которые далее взаимодействуют с ионами железа или других тяжелых металлов присутствующих в среде с образованием нерастворимых сульфидов.