Совокупность текущих затрат предприятия на производство и реализацию продукции, выраженные в денежной форме, образуют себестоимость продукции. Себестоимость продукции является одним из важных экономических показателей, характеризующих хозяйственную деятельность предприятия. Она отражает рациональность использования на предприятии материальных, трудовых и финансовых ресурсов предприятия, основных и оборотных фондов, уровень организации производства и труда.
Себестоимость продукции (работ, услуг) представляет собой стоимостную оценку используемых в процессе производства продукции природных ресурсов, сырья и материалов, топлива, энергии, основных фондов, трудовых ресурсов, а также других затрат на ее производство и реализацию. Себестоимость отражает величину текущих затрат, имеющих производственный, некапитальный характер, обеспечивающих процесс простого воспроизводства на предприятие.
Себестоимость является экономической формой возмещения потребляемых факторов производства. Выпуск продукции или оказание услуг, предполагает соответствующее ресурсное обеспечение, величина которого оказывает существенное влияние на уровень развития экономики предприятия. Поэтому каждое предприятие или производственное звено должны знать, во что обходится производство продукции (работ, услуг). Данный фактор особенно важен в условиях рыночных отношений, так как уровень затрат на производство продукции влияет на конкурентоспособность предприятия, его экономику. Для того чтобы знать, во что обходится изготовление продукта, предприятие должно производить его стоимостную оценку по вещественному и количественному составу (средства и предметов труда), а также по составу и количеству затрат труда, требуемых для его изготовления.
|
|
|
Принято считать, что издержки – это денежное выражение затрат производственных факторов, необходимых для осуществления предприятием производственной и коммерческой деятельности, связанной с выпуском и реализацией продукции и оказанием услуг, то есть все то, во что обходится предприятию производство и реализация продукта (продукции).
В понятие себестоимости продукции включаются затраты, которые не являются затратами производственны факторов, но представляют собой затраты предприятия (отчисления на социальные нужды, проценты за банковский кредит, оплата аудиторских и консультационных услуг и др.)
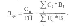
В экономической практике используется показатель затраты на
1 рубль товарной продукции (З1р.):
(118)
где Сп –полная себестоимость товарной продукции;
ТП – стоимость товарной продукции;
Сi - себестоимость единицы продукции каждого вида;
Bi- объем продукции каждого вида;
Цi - цена единицы продукции каждого вида.
По этому показателю можно судить об эффективности произведенных затрат и сравнивать изменение затрат не только по данному предприятию, но и сравнивать различные предприятия






