«Методика расчета частоты источника питания индукционной тигельной печи»
Задание: Рассчитать частоту источника питания и выбрать источник питанияиндукционной тигельной печи.
Исходные данные: принять исходные данные и результаты расчета практического задания 6.
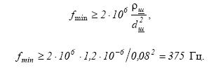
Минимальная частота тока индукционной тигельной печи:

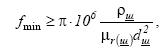
Минимальная частота тока индукционной тигельной печи:


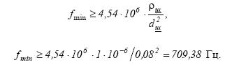
Минимальная частота тока индукционной тигельной печи:

Для выбора частоты и мощности источника питания и для последующих расчетов примем вариант, при котором обеспечиваются минимально приемлемые условия нагрева.
Выбираем из ряда рекомендованных частот частоту f = 500 Гц. (см. прил.8)
В качестве источника питания – три тиристорных преобразователя, включенные в параллель, суммарной мощностью 2400 кВт. Напряжение источника питания, подводимое к индуктору, Uu = 1500 В.
Характеристики выбранного источника питания соответствуют данным, приведенным в приложении 9 для индукционной тигельной печи ИСТ-6, предназначенной для плавки стали.
Вывод: Был произведен расчет мощности и частоты источника питания, предварительно выбрана индукционная тигельная печь.






