Нуклеиновые кислоты присутствуют в клетках всех живых организмов, выполняют важнейшие функции по хранению и передаче генетической информации и участвуют в механизмах ее реализации в процессе синтеза клеточных белков.
)
Нуклеиновые кислоты включают остатки моносахаридов – D-рибозы и 2-дезокси –D-рибозы. Оба моносахарида присутствуют в нуклеиновых кислотах в β -фуранозной форме.

К нуклеиновым основаниям относят тимин, урацил, цитозин, аденин и гуанин.


Гетероциклические основания, входящие в состав нуклеиновых кислот (нуклеиновые основания), - это гидрокси- и аминопроизводные пиримидина и пурина. Нуклеиновые кислоты содержат три гетероциклических основания с пиримидиновым циклом (пиримидиновые основания) и два - с пуриновым циклом (пуриновые основания). Нуклеиновые основания имеют тривиальные названия и соответствующие однобуквенные обозначения.
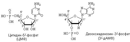
Нуклеотиды – это эфиры нуклеозидов и фосфорной кислоты (нуклеозидфосфаты). Сложноэфирную связь с фосфорной кислотой образует ОН группа в положении 5/ или 3/ моносахарида. В зависимости от природы моносахаридного остатка нуклеотиды делят на рибонуклеотиды (структурные элементы РНК) и дезоксирибонуклеотиды (структурные элементы ДНК). Названия нуклеотидов включают название нуклеозида с указанием положения в нем остатка фосфорной кислоты. Сокращенные обзначения нуклеозидов содержат обозначение нуклеозида, остатка моно-, ди- или трифосфорной кислоты, для 3/-производных указывается также положение фосфатной группы.
|
|
|

Нуклеотиды являются мономерными звеньями, из которых построены полимерные цепи нуклеиновых кислот. Некоторые нуклеотиды выполняют роль коферментов и участвуют в обмене веществ.






