Пусть
— величина потребительских цен в момент
, а
— в момент
.
Обозначим
, тогда 
Величина
называется темпом роста индекса цен,
а величина
— темпом прироста индекса цен или темпом прироста инфляции, или просто инфляцией за период от
до
.
Будем обозначать ее
и рассматривать, как правило, или ежемесячную, или годовую инфляцию.
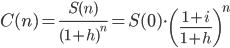
Пусть годовая инфляция в какой-то период времени постоянна и равна
, а некоторый банк начисляет сложные проценты 1 раз в году по ставке
. Тогда наращенная сумма с учетом инфляции:

Причём функция
является возрастающей при
, убывающей при
, а при
постоянной.
Аналогично можно определить
и в случае начисления процентов
раз в году.
Для компенсации влияния инфляции на стоимость денег прибегают к индексации либо процентной ставки
, либо суммы первоначального платежа
.
Годовая процентная ставка
с поправкой на инфляцию называется брутто-ставкой и определяется из уравнения эквивалентности.







