Особую санитарно-биологическую опасность представляют твердые бытовые отходы (ТБО), образующиеся в результате жизнедеятельности людей. Загрязнение окружающей среды отходами производства и потребления является одной из острейших проблем человечества. Накопление огромных объемов отходов в отвалах, хвостохранилищах, шламохранилищах и на других объектах размещения отходов нарушает природные ландшафты, загрязняет воздушный и водный бассейны, приводит к изъятию из хозяйственного оборота земель, наносит большой ущерб флоре и фауне, оказывает существенное негативное влияние на качество жизни человека. В России по различным оценкам, ежегодно образуется от 2,7 до 3,4 млрд т отходов производства и потребления, в том числе: промышленные отходы – 2,6 млрд т, жидкие отходы сельскохозяйственного производства – 700 млн т, твердые бытовые отходы – 35÷40 млн т.
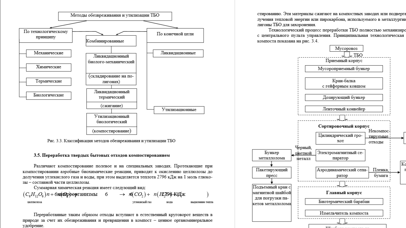
Выбор метода переработки отходов производства и потребления определяется для конкретного региона в зависимости от необходимости решения проблем охраны окружающей среды, здоровья населения, а также от экономической эффективности и рационального использования земельных ресурсов. Учет климатических, географических, градостроительных условий, а также численности обслуживаемого населения определяет решение проблемы обезвреживания и утилизации отходов в конкретных условиях. Известно более двадцати методов обезвреживания и утилизации ТБО. По технологическому принципу методы переработки и обезвреживания ТБО можно разделить на биологические, термические, химические, механические и смешанные. По конечной цели методы переработки и обезвреживания ТБО делятся на ликвидационные и утилизационные (рис. 3.3).
