Если по условиям задачи необходимо, чтобы неизменной оставалась при осреднении сумма величин, обратных индивидуальным значениям признака, то средняя величина является гармонической средней.
Формула гармонической средней величины такова:

Например, автомобиль с грузом от предприятия до склада ехал со скоростью 40 км/ч, а обратно порожняком - со скоростью 60 км/ч.
Какова средняя скорость автомобиля за обе поездки? Пусть расстояние перевозки составляло s км. Никакой роли при расчете средней скорости величина s не играет. При замене индивидуальных значений скорости х1 = 60 и х2 = 40 на среднюю величину необходимо, чтобы неизменной величиной осталось время, затраченное на обе поездки, иначе средняя скорость может оказаться любой — от скорости чепепахи ло скорости света.


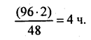
Арифметическая средняя 50 км в час неверна, так как приводит к другому времени движения, чем на самом деле. Если расстояние равно 96 км, то реальное время движения составит:

То же время дает гармоническая средняя:







