Практически в любом аналитическом обзоре, публикациях итогов развития экономики страны, региона за месяц, квартал, год, в перспективных расчетах обязательно используются индексы. Широкое использование индексов в экономико-статистической практике объясняется свойствами этих показателей: во-первых, взаимосвязью частных и общих индексов, что обеспечивает возможность последовательного агрегирования расчетов - по товарам и товарным группам, по территориям, по стране в целом и т. д.; во-вторых, взаимосвязями между индексами разных показателей -урожайности и валового сбора, производительности труда и фондово-оруженности и т. д.
Зная изменение одного из взаимосвязанных показателей, всегда можно определить рассчетным путем изменение другого показателя. Например, по данным отчетности промышленных предприятий одного района известно, что численность занятых в промышленности сократилась в IV квартале по сравнению с I кварталом на 1,5%, объем промышленной продукции снизился на 3%, средняя зарплата возросла на 15%. Как изменились производительность труда и фонд зарплаты?
|
|
|
IП.Т. = 0,97: 0,985 = 0,985;
IФ.З. = 1,15 • 0,985 = 1,133,
т. е. производительность труда снизилась на 1,5%, хотя заработная плата росла, что привело к увеличению фонда заработной платы на 13,3%.
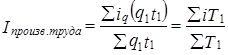
С помощью индексов измеряют динамику производительности труда. Производительность труда может измеряться либо количеством продукции, вырабатываемой в единицу времени q, либо затратами рабочего времени на единицу продукции t. Причем эти показатели находятся в соотношении q = 1 /t. Первый из них называют прямым показателем производительности труда, а второй - обратным. Сводный индекс производительности труда определяется как средний из индивидуальных индексов: либо iq = q1/q0 либо it = t0/t1 (то, что базисное значение в числителе, объясняется обратным характером показателя трудоемкости). Отсюда

где i — индивидуальные индексы часовой, дневной или месячной производительности труда (по видам продукции);
Т1 - общие затраты времени в отчетном периоде соответственно в человеко-часах, человеко-днях или человеко-месяцах.
В последнем случае в качестве T1 используется численность рабочих.
Важное значение для анализа и прогноза экономических процессов в стране, для международных сравнений имеет индекс физического объема промышленной продукции. Методика его построения основана на последовательном обобщении данных: индексы для более крупных совокупностей представляют собой средние из составных элементов этих совокупностей. Этим определяется порядок расчета индекса физического объема, который включает:
|
|
|
определение структурных показателей промышленности по отраслям, которые'затем используются в качестве веса при агрегировании индивидуальных индексов в общепромышленный;
отбор товаров-представителей для каждой отрасли, по которым определяется динамика промышленной продукции в каждой отрасли;
агрегирование отраслевых индексов в общепромышленный.
В соответствии с международной практикой структура промышленного производства должна определяться по показателю добавленной стоимости, но ввиду новизны этого показателя для нашей страны для характеристики структуры промышленного производства используется показатель условно-чистой продукции (табл. 10.16).
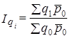
«Стандартный» набор товаров-представителей включает профильные для каждой отрасли изделия, занимающие значительный удельный вес в общем объеме промышленного производства. По машиностроению и ряду других отраслей товары-представители учитывают выпуск этими отраслями товаров народного потребления. Набор товаров учитывает и качественную дифференциацию продукции, направления ее использования (уголь подразделяется на энергетический и коксующийся, прокат - на сортовой и листовой и т. д.). Всего для построения индекса физического объема промышленного производства используются данные примерно по 400 товарам-представителям в разрезе 120 отраслей и производств. В.отраслевых индексах натуральный выпуск продукции по товарам-представителям обобщается по средним оптовым ценам базисного года:

Таблица 10.16






