Древовидной иерархической структурой называется сложная структура, образуемая при последовательном дроблении системы на все более однородные группы элементов. Она состоит из нескольких уровней («шагов» дробления). Таковы, например, административно-управленческая структура предприятия - двух-трех-звенная или более сложная, структура народного хозяйства по крупным отраслям, подотраслям и группам однородных предприятий; структура товарооборота по группам товаров, их видам, сортам, размерам и т.д.
Рассмотрим пример иерархической структуры (схема 11.1.)[19].
В схеме 11.1 указаны шесть уровней и площадь каждой иерархии (дробления), доля этой площади в общей величине земельной площади хозяйства. Отметим, что вся иерархическая структура насчитывает шесть уровней, не считая нулевого, на котором еще нет дробления.
Иерархическая структура характеризуется не только долями объема признака, но и дополнительными показателями:
1. Характеристикой степени сложности структуры:
1. Числом уровней дробления («порядок» структуры). На схеме 11.1 приведена структура шестого порядка.
|
|
|
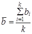
2. Средним порядком структуры, т. е. средним номером уровня, взвешенным по долям объема признака, дробление которых завершилось на данном уровне:
, (11.1)
где П ̅ - средний порядок;
Пi- номер уровня (порядок дробления);
k - число уровней;
di- доля признака, на i-уровне.
Поданным схемы 11.1 П̅= 6∙0,08+5∙0,23 +4∙013+3∙04+ +2∙0,16=3,67.
Эта величина характеризует среднее число дроблений объема признака.
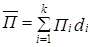
3. Общим числом конечных (т. е. не дробящихся далее) ветвей структуры. В данном примере имеем 28 конечных ветвей.
4. Средним числом конечных ветвей, приходящимся на один уровень.
. (11.2)
В примере
.
Этот показатель характеризует «насыщенность» уровней, как бы «густоту» дерева иерархической структуры, а число уровней - «высоту» этого дерева.
При анализе иерархической структуры вычисляются цепные и базисные доли. Цепная доля - это отношение объема признака на вышележащем уровне иерархии к объему признака на непосредственно нижележащем уровне, из которого вышла ветвь вышележащего уровня. Например:
доля ржи в посевной площади зерновых:
;
доля зерновых в общей посевной площади:
;
доля посевной площади в площади пашни:
;
доля пашни в площади сельхозугодий:
;
доля сельхозугодий в общей земельной площади:
.
Базисная доля равна произведению цепных долей и выражает отношение величины вышележащего уровня к величине уровня, лежащего ниже на два и более порядка или к нулевому исходному уровню, например:
Произведение двух первых цепных долей дает долю ржи в общей посевной площади всех культур:
|
|
|
.
Произведение трех цепных долей дает долю ржи в площади пашни:
.
Произведение четырех цепных долей дает долю площади ржи в сельхозугодьях:
.
Наконец, произведение всех цепных долей дает долю площади ржи в общей земельной площади хозяйства:

Очевидна аналогия этих показателей с цепными и базисными темпами роста при анализе динамического ряда.
| Уровни, их доля в % | И с п о л ь з о в а н и е з е м е л ь н о й п л о щ а д и | ||||||||||||||||||||||||||||
| Нулевой— 5000га»100% | В с я з е м е л ь н а я п л о щ а д ь х о з я й с т в а | ||||||||||||||||||||||||||||
| I уровень | Сельскохозяйственные земли 400 га | Несельскохозяйственные земли 1000 га | |||||||||||||||||||||||||||
| 11 уровень 800га—16% | Сад 2900 га | Сенокосы 800 га | Пастбища 800 га | Пашня 2200 га | Прочие 200 га | Лес 500 га | Под водой 300га | ||||||||||||||||||||||
| III уровень 2000га—40% | ягодники | семечковые | косточковые | Суходольные 600 га | Пойменные 200 га | Луговые 300 га | Окульуренные 200 га | Лесные 300 га | Посевная площадь 2000га | Пар 200 га | Постройки 20 га | Дороши 80 га | Кустарники 100 га | ||||||||||||||||
| IV уровень 650га—13% | Зерновые 800 га | Кормовые 700 га | Овощи 50 га | Лен 100 га | Картофель 350 га | занятый | чистый | ||||||||||||||||||||||
| V уровень 1150га—23% | Зернобобовые 180 га | Овес 240 г | Ячмень 220 га | Рожь 160 га | Многолетние 400 га | Однолетние 250 га | Корнеплоды 50 га | Свекла 30 га | Морковь 20 га | ||||||||||||||||||||
| VI уровень 400га—8% | На зеленый корм | На силос | На сено | ||||||||||||||||||||||||||
Схема 1.1. Иерархическая структура земельной площади хозяйства






