В случае стационарных (то есть неменяющихся во времени) электрического и магнитного полей, происхождение которых связано с покоящимися зарядами для электрического поля и со стационарными токами для магнитного поля, эти поля являются независимыми друг от друга, что позволяет рассматривать их отдельно друг от друга.
Уравнения Максвелла – это система уравнений, описывающих природу происхождения и свойства электрического и магнитного полей.
Уравнения Максвелла для стационарных полей:
I.
, то есть циркуляция вектора напряженности
электростатического поля по произвольному замкнутому контуру L равна нулю, что является признаком потенциального силового поля и означает, что силовые линии электростатического поля не являются замкнутыми, они начинаются и заканчиваются на зарядах или же уходят в бесконечность.
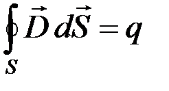
II.
, то есть поток вектора смещения
электростатического поля через произвольную замкнутую поверхность S равен алгебраической сумме заключенных внутри этой поверхности зарядов q (q – заряд, являющийся источником электростатического поля).
III.
, то есть циркуляция вектора
по произвольному замкнутому контуру L равна алгебраической сумме токов I, охватываемых этим контуром L (I – стационарный ток, являющийся источником постоянного магнитногополя).
IV.
, то есть поток вектора индукции
магнитного поля через произвольную замкнутую поверхность S равен нулю.
Таким образом, уравнения Максвелла для стационарных полей:
I.
; II.
;
III.
; IV.
.
Векторные характеристики электростатического поля
и
связаны между собой следующим соотношением:
,
где
– электрическая постоянная, e – диэлектрическая проницаемость среды.
Векторные характеристики магнитного поля
и
связаны между собой следующим соотношением:
,
где
– магнитная постоянная,
– магнитная проницаемость среды.






