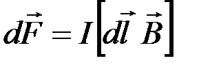
Закон Ампера. На элемент проводника
с током I, помещённый в магнитное поле с индукцией
действует сила
(
– сила Ампера):
.
|
|
|
|
| Рис. 13 |
|
| I |
| I |
:
,
где
– угол между векторами
и
.
Направление вектора
можно определить по правилу левой руки: если силовые линии входят в ладонь, а четыре вытянутых пальца располагаются по току, то отведённый большой палец укажет направление силы Ампера (рис. 13, сила
перпендикулярна плоскости рисунка).
Сила Лоренца. На заряд q, движущийся со скоростью
в магнитном поле с индукцией
, действует сила
(
– сила Лоренца):
.
Модуль вектора
:
,
где α – угол между векторами
и
.
| Рис. 14 |
может быть определено по правилу левой руки для движущихся положительных зарядов и по правилу правой руки для движущихся отрицательных зарядов: если силовые линии магнитного поля входят в ладонь, а четыре вытянутых пальца располагаются по скорости движения частицы, то отведённый большой палец укажет направление силы Лоренца (рис.14, сила
перпендикулярна плоскости рисунка).|
|
|
Тема. 5. Магнитный поток. Теорема Гаусса для магнитного поля
Поток вектора магнитной индукции
( или магнитный поток) через произвольную площадку S характеризуется числом силовых линий магнитного поля, пронизывающих данную площадку S. Если площадка S расположенаперпендикулярно силовым линиям магнитного поля (рис. 15), то поток ФB
вектора индукции
через данную площадку S:
.
| S |
|
| S |
|
| α |
|
Рис. 15 Рис. 16
Если площадка S расположена неперпендикулярно силовым линиям магнитного поля (рис. 16), то поток ФB вектора индукции
через данную площадку S:
,
где α – угол между векторами
и нормали
к площадке S.
| dS |
|
|
| α |
| S |
|
| Рис. 17 |
через произвольную поверхность S, необходиморазбить эту поверхность на элементарные площадки dS (рис. 17)иопределить элементарный поток
вектора
через каждую площадку dS по формуле:
,
где α – угол между векторами
и нормали
к данной площадке dS;
– вектор, равный по величине площади площадки dS и направленный по вектору нормали
к данной площадке dS.
Тогда поток вектора
через произвольную поверхность S равен алгебраической сумме элементарных потоков
через все элементарные площадки dS, на которые разбита поверхность S, что приводит к интегрированию:
.
Теорема Гаусса для магнитного поля
| S |
| Рис. 18 |
|
| α |
| dS |
|
|
магнитного поля через эту поверхность S можно рассчитать по формуле:
.
С другой стороны, число линий магнитной индукции, входящих внутрь объема, ограниченного этой замкнутой поверхностью, равно числу линий, выходящих из этого объема (рис. 18). Поэтому, с учетом того, что поток вектора индукции
магнитного поля считается положительным, если силовые линии выходят из поверхности S, и отрицательным для линий, входящих в поверхность S, суммарный поток ФB вектора индукции
через произвольную замкнутую поверхность S равен нулю, то есть:
|
|
|
,
что составляет формулировку теоремы Гаусса для магнитного поля.
Тема. 6. Явление электромагнитной индукции. Закон Фарадея
Явление возникновения электрического тока в замкнутом проводящем контуре в результате изменения магнитного потока, пронизывающего этот контур, называется явлением электромагнитной индукции. Возникновение индукционного электрического тока в контуре указывает на наличие в этом контуре электродвижущей силы, называемой электродвижущей силой (ЭДС) электромагнитной индукции.
Согласно закону Фарадея, величина ЭДС электромагнитной индукции
определяется только скоростью изменения магнитного потока, пронизывающего проводящий контур, а именно:
величина ЭДС электромагнитной индукции
прямо пропорциональна скорости изменения магнитного потока, пронизывающего проводящий контур:
(закон Фарадея).
Направление индукционного тока в контуре определяется по правилу Ленца: индукционный ток в контуре всегда имеет такое направление, что создаваемое этим током магнитное поле препятствует изменению магнитного потока, вызвавшему этот индукционный ток.
Закон Фарадея с учетом правила Ленца можно сформулировать следующим образом: величина ЭДС электромагнитной индукции
в контуре численно равна и противоположна по знаку скорости изменения магнитного потока через поверхность, ограниченную этим контуром, то есть:
(закон Фарадея с учетом правила Ленца).
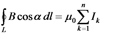
Тема 7. Циркуляция вектора магнитной индукции 
Циркуляцией вектора магнитной индукции
по произвольному замкнутому контуру L называется интеграл:
.
Для того, чтобы найти циркуляцию вектора магнитной индукции
по произвольному замкнутому контуру L, необходимо выбрать направление обхода контура, разбить этот контур L на элементы
, для каждого элемента
рассчитать величину
(a – угол между векторами
и
), а затем все эти величины сложить, что приводит к искомому интегралу.
Однако циркуляцию вектора
по произвольному замкнутому контуру L можно рассчитать, используя теорему о циркуляции вектора
.
Теорема о циркуляции вектора
: циркуляция вектора
по произвольному замкнутому контуру L равна произведению магнитной постоянной m 0 на алгебраическую сумму токов, охватываемых этим контуром L:
,
где n – число проводников с токами, охватываемых контуром L. Положительным считается ток, направление которого образует с направлением обхода по контуру правовинтовую систему; ток противоположного направления считается отрицательным.
Величина
, где a – угол между векторами
и
может быть записана в виде скалярного произведения векторов
и
, то есть, как
, а полученное соотношение для циркуляции вектора
примет вид:
.
Магнитное поле претерпевает изменения при переходе из одного вещества в другое, что определяется магнитными свойствами вещества, которые характеризуются величиной магнитной проницаемости среды (m).
Кроме вектораиндукции
магнитного поля, учитывающего магнитные свойства вещества, для описания магнитного поля введен также и вектор напряженности
магнитного поля, причем для однородной изотропной среды вектор магнитной индукции
связан с вектором напряженности
магнитного поля следующим соотношением:
,
где m 0 – магнитная постоянная, m – магнитная проницаемость среды.
|
|
|
Поскольку для вакуума m = 1, то с учетом приведенного соотношения может быть получена циркуляция вектора напряженности
по произвольному замкнутому контуру L в следующем виде:
,
то есть циркуляция вектора
по произвольному замкнутому контуру L равна алгебраической сумме токов, охватываемых этим контуром L.
Сравнивая векторные характеристики электростатического (
и
) и магнитного (
и
) полей, следует отметить, что аналогом вектора напряженности
электростатического поля является вектор магнитной индукции
, так как векторы
и
определяют силовые действия этих полей и зависят от свойств среды, а аналогом вектора электрического смещения
является вектор напряженности
магнитного поля.






