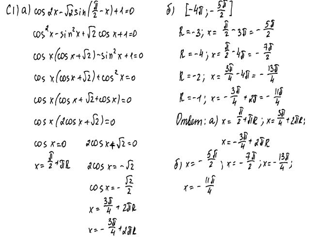
а) Решите уравнение
.
б) Укажите корни этого уравнения, принадлежащие отрезку
.
Ответ: а)
,
;
,
; Ответ:
,
;
Ответ: б)
;
; 

Оценка эксперта: ___________
Пример 4.
Условие, ответы см. в предыдущем примере.


Оценка эксперта: ____________
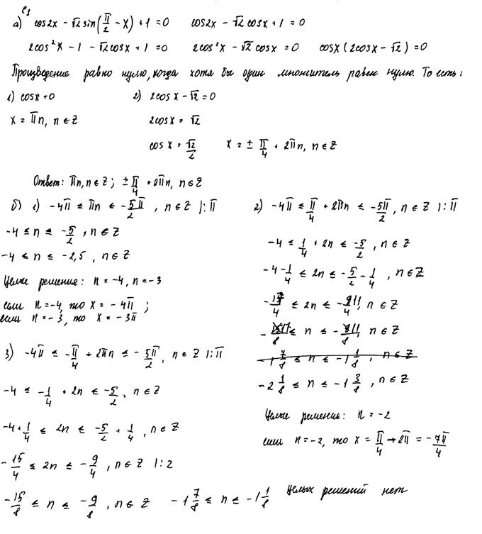
а) Решите уравнение
.
б) Укажите корни этого уравнения, принадлежащие отрезку
.
Ответ: а)
,
;
,
; Ответ:
,
;
Ответ: б)
;
; 

Оценка эксперта: ___________
Пример 4.
Условие, ответы см. в предыдущем примере.


Оценка эксперта: ____________
|
|