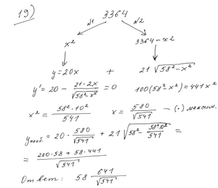
Первичная информация разделяется по серверам №1 и №2 и обрабатывается на них. С сервера №1 при объеме
гб. входящей в него информации выходит
, а с сервера №2 при объеме
гб. входящей в него информации выходит
гб. обработанной информации;
. Каков наибольший общий объем выходящей информации при общем объеме входящей информации в 3364 гб.? Ответ: 1682.







